Fox Alerts in the 24th Infantry Division: Feb. 24, 2000

Many veterans of the Gulf War have expressed concern that their unexplained illnesses may result from their experiences in that war. In response to veterans’ concerns, the Department of Defense established a task force in June 1995 to investigate incidents and circumstances relating to possible causes. The Office of the Special Assistant to the Deputy Secretary of Defense for Gulf War Illnesses assumed responsibility for these investigations on November 12, 1996, and has continued to investigate reports of chemical warfare agent incidents.

To inform the public about the progress of these efforts, the Department of Defense publishes on the Internet and elsewhere accounts that may contribute to the discussion of possible causes of illnesses of Gulf War veterans, along with documentary evidence or personal testimony used in compiling the accounts. This narrative is such an account.

I. Methodology

One prominent hypothesis about illnesses among Gulf War veterans is that some of the reported symptoms are the result of exposure to chemical warfare agents. During and after the Gulf War, individuals reported that they had been exposed to chemical warfare agents. To investigate these incidents, and to assess the likelihood that chemical warfare agents were present in the Gulf, the Department of Defense developed a methodology for investigation and validation based on work done by the United Nations and the international community. The criteria include:

  • A detailed written record of the conditions at the site;
  • Physical evidence from the site such as weapons fragments, soil, water, vegetation or human/animal tissue samples;
  • A record of the chain of custody during transportation of the evidence;
  • The testimony of witnesses;
  • Multiple analyses; and
  • A review of the evidence by experts.

While the methodology (Tab D) used to investigate suspected chemical warfare agent incidents is based on these protocols, the passage of time since the Gulf War makes it difficult to obtain certain types of documentary evidence, and physical evidence was often not collected at the time of an event. Therefore, we cannot apply a rigid template to all incidents, and each investigation must be tailored to its unique circumstances. Accordingly, we designed our methodology to provide a thorough, investigative process to define the circumstances of each incident and to determine what happened. Alarms alone are not considered to be certain evidence of chemical warfare agent presence, nor is a single observation sufficient to validate the presence of a chemical warfare agent.

After following our methodology and accumulating anecdotal, documentary, and physical evidence, by interviewing eyewitnesses and key personnel, and by analyzing the results of all available information, the investigator assesses the validity of the presence of chemical warfare agents on the battlefield. Because we do not expect to always have conclusive evidence, we have developed an assessment scale (Figure 1) ranging from Definitely Not to Definitely, with intermediate assessments of Unlikely, Indeterminate, and Likely. This assessment is tentative, based on facts available as of the date of the report publication; each case is reassessed over time based on new information and feedback.

Figure 1. Assessment of Chemical Warfare Agent PresenceFigure 1. Assessment of chemical warfare agent presence

The standard for making the assessment is based on common sense: Do the available facts lead a reasonable person to conclude that chemical warfare agents were or were not present? When insufficient information is available, the assessment is "Indeterminate" until more evidence can be found.

II. Summary

This investigation begins in November 1993 when an Army soldier forwarded a copy of some tape printouts from an XM93 Fox Chemical Reconnaissance Vehicle MM-1 mobile mass spectrometer (referred to as Fox tapes), through an Army officer at Fort Hood, Texas, to the Army’s Forces Command headquarters at Fort McPherson, Georgia. The soldier kept the original Fox tapes from his service as a Fox vehicle MM-1 mobile mass spectrometer operator because he felt they contained evidence of chemical warfare agent presence. The copies of the tapes identified seven alert incidents, which occurred between February 1, 1991, and February 27, 1991. After receiving the tapes, the Army’s Forces Command forwarded the Fox tapes to the Army’s technical experts for their analysis.

In 1996, this office’s predecessor, the Persian Gulf Illnesses Investigation Team, began an investigation into Fox vehicle alerts, including the alert incidents on the Fox tapes provided by the soldier. In 1997, the Presidential Advisory Committee on Gulf War Veterans’ Illnesses initiated its own investigation into the alert incidents on the Fox tapes. During their investigation, the committee requested and received another copy of the Fox tapes directly from the soldier. This copy of the tapes contained additional information not contained on the original Fox tapes received in 1993, including another alert incident, some additional test information, and spectra results.

Investigators identified eight alert incidents based on the two sets of tapes. In the eight incidents, the Fox issued preliminary alerts for a variety of chemical warfare agents and other chemicals, including compounds used to test the MM-1 mobile mass spectrometer’s detection capability. Of these eight alert incidents, four occurred during the air war when the Fox was conducting training missions near the Saudi Arabia-Iraq border and preparing for the ground offensive. The four remaining incidents occurred during the ground war when the Fox was operating as a component of the 24th Infantry Division in Iraq.

As mentioned above, in late 1993 the Army’s Forces Command forwarded the copies of the original Fox tapes to Fox vehicle experts at the Army’s Chemical and Biological Defense Command in Edgewood, Maryland. During their analysis, the experts talked by telephone with the soldier. On December 20, 1993, these experts sent a memo containing the analysis of the tapes to the Office of the Deputy Chief of Staff for Operations and Plans. The memo concluded that proper procedures were not followed when verifying the initial Fox alerts. Although they could not say so with absolute certainty, the Fox vehicle experts believed that all reported detections were false alarms.

The additional tapes faxed to the Presidential Advisory Committee in 1997 were not evaluated by the Army's Fox vehicle experts in the same detailed manner as the tapes analyzed in 1993. In 1998, investigators from the Office of the Special Assistant met with the same Fox vehicle experts who reviewed the original tapes. After reviewing the second set of tapes, including the additional spectra results, the experts felt they could say with a higher degree of certainty that all reported detections were false alarms.

The experts’ analyses of the Fox Tapes was limited to the information printed on the tapes and provided to them by the MM-1 operator. However, our investigation includes operational insights of the unit the Fox vehicle supported and an evaluation of Iraq’s chemical warfare agent capabilities. Based on interviews with key personnel in the 24th Infantry division, these alerts are uncorroborated; no other chemical warfare agent detector alarms or tests support these alerts. Additionally, these Fox alerts were not reported to a higher command. Unprotected personnel near this Fox vehicle did not report symptoms or casualties related to chemical warfare agent exposure. Furthermore, based on United Nations reports, some of the agents indicated by the alerts either did not exist in the Iraqi inventory. For others, Iraq lacked a known delivery means, or the agents would normally be present with other chemical warfare agents for which the Fox did not alert. Finally, at the time these Fox alerts occurred, Iraqi forces were not present and the area was not under attack. For these reasons, we are able to go beyond the Fox experts’ assessment of highly unlikely, and state this Fox definitely did not detect chemical warfare agents.

III. Narrative

To monitor for chemical warfare agents during the Gulf War, the Army used the XM93 Fox Nuclear Biological Chemical Reconnaissance Vehicle (referred to as the Fox vehicle), which contains the MM-1 Mobile Mass Spectrometer (MM-1). This investigation begins with an Army soldier who kept a set of MM-1 tape printouts (referred to as Fox tapes) containing Fox alert data from the Gulf War.[2] During the war, the soldier’s Fox vehicle was assigned to elements of the 24th Infantry Division (24th ID). In 1993, the soldier, who was the Fox vehicle’s MM-1 operator, read a newspaper article about a Marine separating from the Marine Corps because he was reportedly sick from his service in the Gulf. After reading this story, the soldier sent a copy of his Fox tapes to the Army for analysis because he thought the tapes proved chemical warfare agent exposure.[3]

Since the soldier was concerned that forwarding the tapes would have an adverse impact on his career, he made arrangements for an Army officer at Fort Hood to send the tapes to the proper office in a way that he could preserve his anonymity.[4] Before sending the tapes, the soldier removed all identifying information, such as the unit and the names of the vehicle’s commander and MM-1 operator.[5]

On November 23, 1993, the Army officer faxed photocopies of the Fox tapes from the III Corps commanding general’s office at Fort Hood to Forces Command (FORSCOM) headquarters at Fort McPherson, Georgia. The next day, FORSCOM headquarters faxed a copy of the tapes to the office of the FORSCOM Deputy Chief of Staff for Operations, which then forwarded the Fox tapes to both the Chemical and Biological Defense Command (CBDCOM)[6] at Edgewood, Maryland, and to the US Army Chemical School at Fort McClellan, Alabama.[7] This set of tapes is referred to as the Edgewood tapes.

Technical experts from CBDCOM analyzed the Edgewood tapes between November 29 and December 17, 1993. Part of this analysis included a telephone interview of the soldier by several CBDCOM experts. The Army officer at Fort Hood coordinated this interview. On December 20, 1993, the project manager for Nuclear, Biological, Chemical (NBC) Defense at Edgewood sent a memo containing the analysis of the tapes to FORSCOM.[8] In their analysis, the technical experts pointed out that

… some incorrect procedures were used. For example, based on the MM-1 printouts provided thus far, spectra were not taken after the alarms for verification purposes, sensitivity checks were not performed during the MM-1 startup procedures, and temperature programs to clean out the sampling probe line after detections were not performed.[9]

The project manager closed the memo by stating,

… we cannot confirm any of the reported chemical warfare agent (CWA) detections from the information supplied, nor can we deny with 100% certainty that a CWA was detected by the MM-1. We firmly believe that all the reported detections are false alarms ….[10]

CBDCOM limited their analysis to the information printed on the Fox tapes supplemented by during the interview with the soldier. It was not in their scope to consider any operational information such as what the unit was doing at the time of the alerts or whether they were under attack. The experts did not speak with any other members of the Fox vehicle crew or the 24th Infantry Division, the division the Fox vehicle supported. Additionally, they did consider whether the Fox alerted for agents that were part of Iraq’s operational chemical weapon inventory.

In 1995, the Persian Gulf Illnesses Investigation Team (PGIIT), the predecessor organization to our office, obtained a copy of the Edgewood tapes during a trip to CBDCOM and began an investigation.[11] The MITRE Corporation also reported about these tapes in its review of US intelligence activities during the Gulf War. In Chapter 11 of their June 1997 draft report, MITRE discussed these MM-1 tapes.[12]

In early 1997, the Presidential Advisory Committee on Gulf War Veterans’ Illnesses (PAC), commissioned in part to act as an oversight authority to the investigations being conducted by the Department of Defense,[13] requested a list of possible chemical warfare agent exposure incidents. The Office of the Special Assistant responded to the request with a list that included the Edgewood tapes.[14]

The PAC initiated its own investigation into the incidents. At the same time, we started our own investigation where PGIIT left off. Because identifying information had been removed from the tapes, investigators had a very difficult time obtaining information that would lead them to the tapes’ original owner. However, the PAC investigators, with the help of the experts at CBDCOM, tracked down the Army officer who acted as the liaison on the soldier’s behalf, and eventually identified the soldier who had submitted the tapes.[15]

In May 1997, PAC investigators contacted the soldier for the first time.[16] Sometime between May and June 1997, the soldier faxed the PAC a copy of the Fox tapes.[17] This copy of the tapes has come to be known as the PAC tapes to differentiate it from the Edgewood tapes. A comparison of the two sets of tapes shows that the PAC tapes contained most of the same data as the Edgewood tapes, but also contained additional information, including some MM-1 spectra not provided to the Army in 1993. In July 1997, the PAC investigators interviewed the soldier at his duty station for approximately seven hours. Investigators from the Office of the Special Assistant conducted a brief telephone interview with the soldier in December 1997. Since the soldier had already given an extensive interview to what he viewed as a governmental entity (the PAC), he was not inclined to repeat his entire story for us.[18] In 1999, investigators from the Office of the Special Assistant contacted the PAC investigators to obtain a copy of the PAC interview with the soldier. Unfortunately, the PAC investigators did not retain notes of the interview, but both PAC investigators and the PAC Fox vehicle expert shared their impressions and recollections of the interview, along with information obtained about the tapes.[19] Both PAC investigators believed that the PAC sent a copy of their interview notes to the National Archives when the PAC’s charter expired in October 1997. Although we searched for the PAC records at the National Archives, we did not locate this information.[20]

In addition to the brief telephone interview with the soldier, investigators from the Office of the Special Assistant also interviewed the Fox vehicle commander. Efforts to interview other members of the Fox crew for this investigation were unsuccessful, but we did conduct interviews with key personnel assigned to elements of the 24th ID during the Gulf War. Technical experts at the National Institute for Standards and Technology reviewed both the Edgewood tapes and the PAC tapes but did not provide an analysis of the tapes because the "underlying spectra were not reported."[21] The Institute limits their analysis to a full printout of all the ions contained in a sample. The tapes show six spectra, but only one containing the full printout of ions. we also sent both the Edgewood and the PAC tapes to Bruker Daltonics, the Fox MM-1 experts, for analysis, but we have not received Bruker Daltonics' analysis of the incidents.[22]

In October 1998, investigators met with the CBDCOM experts who originally evaluated the tapes in 1993. At this meeting the experts were given a copy of the PAC tapes to analyze and compare to the Edgewood tapes. After reviewing both sets of tapes together, the CBDCOM experts felt they could say with a higher degree of certainty that the alerts recorded on the tapes were false.[23]

We currently have copies of both the Edgewood tapes (1993) and the PAC tapes (1997). Despite some differences among the copies, they are mostly identical, leading us to conclude that they both were copied from the same original Fox tapes. Pieces from both the Edgewood and PAC tapes are used in this narrative to provide a more complete picture of the alert incidents in question. For the purposes of this paper, we have constructed a side-by-side comparison of the Edgewood tapes and the PAC tapes. This comparison with CBDCOM’s analysis of the tapes can be found in Tab E.

An understanding of the Fox vehicle is important to comprehend this case narrative. The Office of the Special Assistant has published a separate information paper providing an in-depth explanation of the Fox vehicle.[24] What follows in this section is the analysis of the alerts recorded on the Edgewood tapes and the PAC tapes.

Before the start of Operation Desert Storm, the German government gave the United States 60 Fox vehicles (officially known as Fuchs Nuclear, Biological, Chemical (NBC) Reconnaissance Vehicles (Figure 2)). These 60 vehicles were modified for US forces. These modifications included the addition of the M43A1 chemical vapor detector,[25] as well as English language labels and English language software to the vehicle’s mobile mass spectrometer. The US military named the modified German vehicle the XM93 Fox NBC Reconnaissance Vehicle, but it was simply called the Fox.[26] The Fox was one of several chemical warfare agent detectors deployed by the Army to detect Iraqi chemical warfare agents.[27]

Figure 2.  The XM93 Fox Reconnaissance VehicleFigure 2. The XM93 Fox Reconnaissance Vehicle

The Fox is a six-wheeled light-armored vehicle designed primarily to detect, identify, and mark areas of persistent liquid chemical warfare agent ground contamination..[28] Pressurizing and sealing the vehicle protects the crew from exposure to outside contaminants, and allows the crew to work without the constraints of protective masks and gloves. The primary chemical warfare agent detection system in the Fox consists of the MM-1 mobile mass spectrometer (MM-1) and an air/surface sampler. This system is primarily a liquid chemical agent detector. The addition of the M43A1 augments the Fox MM-1 system by providing a credible nerve agent vapor detector. The MM-1 detects chemical warfare agents by analyzing the ionic activity of a sample that has been collected either by raising liquid samples from the ground to the retractable sampling probe, using silicon sampling wheels, or by "sniffing" the surrounding air.[29]

The MM-1 continuously monitors samples passing through it, checking for the presence of chemical warfare agents identified on a pre-selected target list of 1 to 22 chemical compounds, which are primarily chemical warfare agents. This target list consists of a four-ion "fingerprint" for each compound. During the initial identification step, the MM-1 fragments each sample into a unique pattern of ions and then compares each four-ion fingerprint on the target list against the sample, searching for a match.[30]

If the MM-1 makes an initial match, and the four-ion intensity[31] is above a specific level (unique for each agent), an alarm is sounded, displayed on the MM-1 operator’s screen, and printed on a paper tape. This initial alarm, however, does not verify the presence of a chemical warfare agent because there are many chemical compounds with the same or similar ions as those compounds on the chemical warfare agent target list that can cause a false alarm for chemical warfare agents.[32] The initial alarms continue until either the ion intensity level falls below the alarm level or the MM-1 operator changes sampling methods or modes.[33]

The MM-1 operator must perform a spectrum analysis in order to increase the confidence of the detection of the presence of a chemical warfare agent. A spectrum analysis involves optimizing the MM-1 by lowering the temperature of the sample line from 180 degrees Celsius to 120 degrees Celsius for better ion separation, discontinuing use of the sample wheels, cleaning the sample probe to remove residual ion activity (contamination), and lowering the probe to within three to five centimeters of the source of the alert. This allows the MM-1 to acquire a better-prepared sample. The MM-1 then searches its 60-compound chemical library of four-ion-peak fingerprints, compares them against this improved sample, and attempts to match the chemical warfare agent fingerprints with the sample.[34]

Using the proper procedures, it takes several minutes to collect a good sample and to obtain a good ion spectrum readout and analysis. This process is necessary to properly evaluate the sample for any suspected chemical warfare agent, and to assure that initial indications were not affected by contaminants from the battlefield (e.g., smoke, diesel exhaust, and oil). Although an MM-1 operator can produce a spectrum in other ways, this is the proper and most accurate method.[35] The MM-1 operator should also print a tape, which saves the details of the spectrum as a hard-copy historical record.[36]

Should the properly performed spectrum procedure identify a chemical warfare agent, the MM-1 operator and the Fox commander can be confident that the agent is present. Conversely, if the spectrum analysis does not identify one of the chemical warfare agents contained in the MM-1 60-chemical library, the MM-1 operator and the Fox commander can be confident that the chemical warfare agent that was displayed during the initial alarm is not present. Further analysis of the spectrum tape printout by a mass spectrometry expert comparing the spectrum results to an established database of compounds can increase confidence in the detection. Additionally, the MM-1 operators were taught to collect a specimen of the contamination (e.g., a soil sample) to further aid confirmation of the substance by thorough analysis in a laboratory. When the MM-1 cannot match any of the compounds in the library to the sample, the MM-1 indicates "unknown" on the operator’s screen and the tape printout. A reading of "fats, oils, wax" is considered a false alarm.[37]

Due to the operational urgency of the pre-war period, Fox operators received varying amounts of training at either the US Army Chemical School at Ft. McClellan, Alabama, or at the German NBC and Self Protection School in Sonthofen, Germany. Gulf War Fox crews went through an intensive two-to-four-week Fox vehicle training program, but no certifying tests were required.[38]

All Fox crews were taught to follow a standard operating procedure both before the start of the vehicle’s mission and after the MM-1 issues an initial alarm.[39] The start-up procedure consisted of function tests, confidence checks, and calibration tests. Function tests are electronic tests which check various components of the MM-1.[40] Unless each tested component registers an "OK" reading, the MM-1 cannot be assured of accurate operation and the function tests should be repeated until "OK" readings are registered.[41] Confidence checks using chemical simulants held to the sampling probe by a Fox crewman provide further assurance that the vehicle’s sampling equipment is transporting chemical samples properly through the system.[42] Calibration tests monitor the MM-1 system response and relative ion intensity of alarms for the calibration gases. If certain ion intensity levels are not reached, it could indicate a faulty sampling probe or problems with the MM-1.[43] After successfully performing confidence and calibration tests, the temperature program is run to clean the probe destroying any remaining test substances in the probe. If this procedure is not successfully performed, the sampling probe can emit residual ions, called residual ion contamination, which cause false alarms.[44]

This section describes the eight alert incidents found on the Fox vehicle tapes provided by the soldier. Sections from both the Edgewood and PAC tapes have been reproduced to assist the reader in understanding the analyses of the ground war alerts that follow. The Fox vehicle and the crewmen addressed in this case narrative were originally part of a unit of three Fox vehicles called Section 7 of the 25th Chemical Reconnaissance Company, 8th Infantry Division, stationed in Germany. Before their departure to Saudi Arabia in November 1990, the crew received their Fox vehicle training from the German NBC and Self Protection School. On December 26, 1990, this crew was assigned to support the operations of the 24th ID, more specifically the 2nd Squadron, 4 Cavalry Regiment (2/4 CAV) and, subsequently, the Scout Platoon, 3rd Battalion, 7th Infantry Regiment 1st Brigade, 24th Infantry Division (3/7 Infantry).[45]

1. Pre-Ground War Alerts

During this pre-ground phase of the conflict, the 2/4 CAV was the screening force and acted as the 24th ID’s first line of defense against an Iraqi ground force incursion into Saudi Arabia. As such, the nine platoons of 2/4 CAV were deployed inside the Saudi border along a 70-kilometer screenline in front of the 24th ID main force. The three Fox vehicles served as chemical warfare agent monitors along this screenline.[46] .

According to the Fox vehicle commander, before the ground war, the Fox crew conducted various training exercises on the MM-1, including confidence checks using test chemicals. They also conducted cross training exercises, so every crewmember would know how to operate the MM-1. Additionally, they demonstrated to other units how the Fox vehicle worked, hoping that the familiarization with their foreign-looking vehicle would cut down on possible friendly-fire incidents. During this time, the Fox vehicle commander noted no unusual activities.[47]

From January 17 to February 24, 1991 (the first day of the ground war) the 2/4 CAV commander stated that nothing unusual happened to his unit. Occasionally the squadron NBC officer told him about an M8A1 registering a false alarm. The 2/4 CAV commander was never notified about any Fox alert or other positive chemical warfare agent alerts. For this reason, he never ordered any of his subordinate units to a higher level of protection, known as mission oriented protective posture,[48] in response to possible chemical warfare agent presence. Additionally, he does not know of any of his platoons being ordered to a higher protection level.[49] The 2/4 CAV squadron surgeon recorded no casualties of any type during this period, including chemical warfare agent casualties. The only casualties he recalled were a few conventional munitions casualties (non-nuclear, chemical, or biological), which occurred during the ground war and post-ground-war period. Additionally, no personnel in the regiment reported any odd symptoms at sick call that would have indicated a chemical warfare agent exposure.[50]

Figure 3.  Approximate locations of pre-ground war Fox alerts (February 1-14, 1991)Figure 3. Approximate locations of pre-ground war Fox alerts (February 1-14, 1991)

Figure 3 shows the general location of four alerts recorded on the Fox tapes. The timeline of pre-ground war alerts (Figure 4) provides an overview of the dates and times of the Fox alerts discussed below in sub-sections a through d. All of the alerts on the Fox tapes registered at low ion intensity levels (under 2.0) and in their analysis of the alerts, CBDCOM’s Fox vehicle experts quoted the manufacturer of the MM-1, Bruker-Franzen: "…it is highly unlikely to get true alerts at so low a response level."[51]

Figure 4.  Timeline of pre-ground war alerts (February 1-14, 1991)Figure 4. Timeline of pre-ground war alerts (February 1-14, 1991)

a. Alert 1: February 1, 1991, 10:12 AM[52]

At 10:12 AM, the MM-1 alerted for the possible presence of phosgene oxime (shown as PHOSGENOX (CX) on the Fox tape) and tabun (Figure 5). The ion intensity levels for the agents were 1.7 and 1.9, respectively.

Figure 5.  Fox tape, February 1, 1991Figure 5. Fox tape, February 1, 1991

Analysis of Alert 1

When CBDCOM evaluated the tapes in 1993, they quoted the technical experts at Bruker-Franzen who thought it unlikely that a true alert would come from such a low response level as shown in the tapes.[53] It is not surprising that spectra were not taken since MM-1 operators were trained to perform spectra in response to alerts with ion intensity levels of four and above.[54] The tapes indicate that before this alert, the crew ran function tests which verified that all components of the MM-1 were fully operational (indicated by the OK after each test). However, the Fox crew did not perform confidence checks, as called for in the start-up procedures, to further confirm the operational status of the MM-1.[55]

After the tabun alert, the MM-1 operator changed the sampling method to Test/Lo, then switched it again to Air/Hi. There is no apparent reason for this action because the Test/Lo method should only be used to check the proper functioning of the MM-1 during initial start-up. According to CBDCOM’s analysis of this alert, "[s]ince no more [alerts] occurred after [a] new background was taken [when the operator changed methods], these are attributable to the sampling wheels off-gassing."[56] Off-gassing refers to the MM-1 falsely identifying vapors from silicone sampling wheels as a chemical warfare agent. This problem was identified and corrected after the war. Additionally, at the time of the alerts, according to the vehicle’s location reporting system (shown on the tape to the left of the 10:08 time notation), the vehicle had not moved from its original start-up location.[57] This means the Fox was still in the garrison area of the 2/4 CAV and interviews show that this unit reported no chemical incidents and that no chemical warfare agent symptoms were reported to unprotected troops.[58]

Since the end of the Gulf War, the United Nations Special Commission (UNSCOM) has inspected, inventoried, and destroyed Iraqi weapons of mass destruction, including chemical warfare agents and munitions filled with chemical warfare agents. During the inspection process, UNSCOM never found phosgene oxime to be a part of Iraq’s chemical warfare agent inventory. If Iraq didn’t produce or weaponize phosgene oxime, it could not have been used against Coalition forces. Iraq abandoned tabun (GA) in the mid-1980s and UNSCOM and the Central Intelligence Agency (CIA) reported only two aerial bombs containing tabun were found.[59] The only method for Iraq to deliver these aerial bombs was through the use of aircraft and this did not happen because Iraq did not fly ground attack sorties after January 25, 1991.[60] At the time of the phosgene oxime and tabun alerts, the Fox vehicle was not under attack. Specifically, no Iraqi weapons system that could deliver chemical weapons (aircraft, artillery, missiles) engaged this unit at the time of this incident. These operational insights, combined with the information we know about Iraq’s chemical warfare agent inventory and the analysis of the Fox tapes leads us to state that chemical warfare agents were not present.

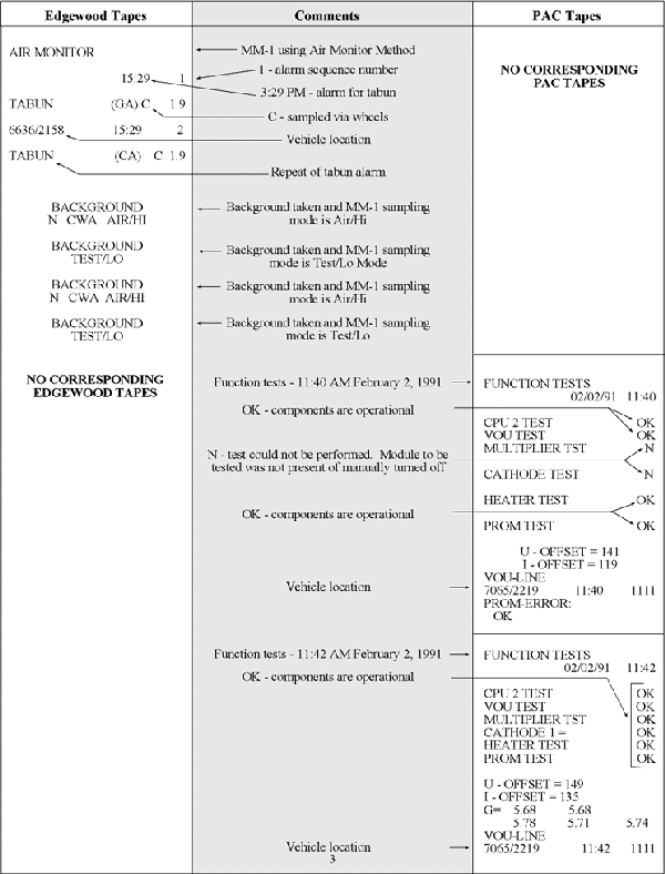
b. Alert 2: February 1, 1991, 3:29 PM

Approximately five hours after the first alert, the MM-1 alerted again, at 3:29 PM (15:29), for tabun at a 1.9 ion intensity level (Figure 6).

Figure 6.  Fox tape, February 1, 1991Figure 6. Fox tape, February 1, 1991

Analysis of Alert 2

This alert occurred five minutes after the function tests were performed, and according to the vehicle’s location reporting system, at the time of this alert, the vehicle had not traveled far from its initial starting location. Subsequent alerts did not occur when the MM-1 operator switched the detection method back and forth to Air/Hi and Test/Lo. Again, it is not apparent why the operator changed the method to Test/Lo. The ion intensity level was very low, and CBDCOM came to the same conclusion about this alert as it did about Alert 1 above—namely, that off-gassing caused the alert.[61]

Finally, as described in the analysis section of Alert 1, UNSCOM and CIA assess that there were no deployed tabun weapons.[62] At the time of the tabun alerts, the Fox vehicle was not under attack and a delivery means for these agents was not identified. Since Iraqi aircraft did not fly ground attack sorties after January 25, 1991,[63] it was not possible for tabun to be used against Coalition forces and then detected by the Fox vehicle.

c. Alert 3: February 14, 1991, 9:24 AM

Almost two weeks later on February 14th, the Fox vehicle alerted for the presence of HT mustard at 1.9 ion intensity level.

Figure 7.  Fox tape, February 14, 1991Figure 7. Fox tape, February 14, 1991

Analysis of Alert 3

One hour before this alert, a function test confirmed that the MM-1’s electronic components were properly functioning (indicated by "OK" after each test), but the crew did not perform any confidence checks to ensure that the MM-1 was otherwise operating properly. Sometime after the function test at 8:24 AM, the MM-1 was manually turned off and turned back on at 9:24 AM (indicated by the "RAM START" printed on the tape). When the MM-1 was turned back on, the crew did not perform new function tests and confidence checks to verify that the MM-1 was fully operational before receiving alerts for HT.[64]

Although the MM-1 has a limited capability to detect chemical warfare agents in the air, the Fox vehicle was sometimes used for vapor detection during the war and this in noted by an "A" being printed on the tape to the left of the ion intensity. However, it is not optimized for this mission, nor is its alerting capability in this method of operation as good as that of other chemical warfare agent detectors.[65] In this incident, the Fox was sampling the air and was not using the wheels to search for liquid contamination on the ground. The "A" on the tape before the ion intensity level notes that the wheels are not being used.

UNSCOM inspectors did not find HT mustard in the Iraqi inventory. They did find HD mustard that contained trace amounts of HT as a manufacturing byproduct.[66] The only ground delivery system that Iraq had for mustard (HD) was 155mm artillery,[67] but the 2/4 CAV received no artillery fire while they were the screening force before the start of the ground war.[68]

According to a US Army field manual, HT’s "… low volatility makes effective vapor concentrations in the field difficult to obtain."[69] Since the Fox was sampling the air and not using the sampling wheels, it is doubtful the MM-1 would detect this small presence of HT had it been present.[70] Additionally, the CBDCOM experts said they "…would expect a simultaneous detection of HD [mustard] since it is the more volatile component of HT [mustard]; HD is not evident in any of the HT detections on this tape." It is not unusual for HD mustard to have impurities that can result in small quantities of HT and HQ. HD is more volatile or quicker to vaporize than both HT and HQ and an alert for either of these agents would normally also include an alert for HD.[71] Finally, CBDCOM noted that the low ion intensity level casts additional doubt on the validity of this alarm.[72] Because the unit was not under attack, HT was not in the Iraqi inventory, and given the difficulty of detecting HT vapor, this alert of HT mustard is not valid.

d. Alert 4: February 14, 1991, 10:02 AM

A little over 30 minutes later on February 14th, at 10:02 AM, the MM-1 alerted for phosgene oxime at a low ion intensity level. Three minutes before this alert, the MM-1 operator performed function tests that identified problems with some of the electronic components (noted by the "N" and "W"), indicating that the MM-1 was not fully operational and not able to make valid detections for chemical warfare agents (Figure 8).[73]

Figure 8.  Fox tape, February 14, 1991Figure 8. Fox tape, February 14, 1991

After the phosgene oxime alert, the operator changed the sampling method to Test/Lo, and at 10:07 AM, the MM-1 registered an alert for dimethylphthalate, a confidence check simulant. One minute after the dimethylphthalate alert, the MM-1 operator performed a spectrum, which identified FC 77, a calibration gas. The Fox tape indicates subsequent alerts for dimethylphthalate and diethylphthalate (another confidence check simulant) from 10:10 AM to 10:42 AM, but the operator took no additional measures since these are the test simulants, not chemical warfare agents.[74]

Analysis of Alert 4

The function tests before the phosgene oxime alert indicated problems with the MM-1’s electronic components. Unless the operator gets an "OK" reading for each component tested, the MM-1 will not operate accurately.[75] The "N" that appears after both the multiplier and cathode tests indicates that the tests could not be performed because either the module to be tested was not present or it was manually turned off. The "W" displayed after the heater test warned the MM-1 operator that the MM-1 was operational, but that the tested modules may have been outside the control limits (e.g., the MM-1 may not have been operating long enough to properly heat the probe). When the MM-1 displayed these warnings, the function tests should have been repeated until an "OK" reading appeared for all components tested.[76]

When the MM-1 operator switched the MM-1 to the Test/Lo method minutes after the initial alert, the MM-1 showed that the confidence check simulant dimethylphthalate was present in the probe at a level below the required ion intensity level (registering only 2.6 instead of the required 5.0 or above).[77] Since the function tests showed that certain MM-1 electrical components were not ready and the confidence check did not reach the desired ion intensity level, it is safe to say that the MM-1 was not fully functional at the time of the phosgene oxime alert and was probably responding to remaining simulants that had not been purged from the system. In fact, the operator probably introduced the simulant for the confidence check before the MM-1 was ready and before switching to the Test/Lo method, thereby yielding the false positive for phosgene oxime. The spectrum confirmed that phosgene oxime was not present.[78] Finally, as described in the analysis of Alert 1, although Iraq researched phosgene oxime as a chemical warfare agent it did not produce or weaponize phosgene oxime so it could not have been used against Coalition troops.[79]

2. Ground War Alerts

Several days before the ground war started, units subordinate to the main maneuver brigades of the 24th ID replaced the 2/4 Cavalry Regiment as the screening force. This particular Fox was reassigned to the Scout Platoon, 3/7 Infantry of the 24th ID, which probably deployed over the Iraq-Saudi border shortly before the start of the ground war.[80]

At the start of the ground war (February 24, 1991), the 24th ID, shown in Figure 9, was located on the left flank of the Coalition forces, with the 3rd Armored Cavalry Regiment to the right and the 101st Airborne to the left. The 24th ID attacked into Iraq three brigades abreast with the division cavalry squadron conducting reconnaissance and protection operations to the front. The division rapidly advanced to their objectives, maintaining speeds of 25 to 30 miles an hour.[81] The main objective of the 24th ID was to cross the Iraqi border, link up with the 101st Airborne, cut Highway 8 by blocking it with armor, and then turn east where they were supposed to destroy Iraqi forces trapped in Kuwait or eastern Iraq.[82] During these operations, the 24th ID came within sight of the Khamisiyah ammunition supply point, which according to post-war UNSCOM investigations contained chemical warfare munitions. However, the 24th ID did not enter the Khamisiyah ammunition supply point.[83]

Figure 9.  Approximate locations of ground war Fox alertsFigure 9. Approximate locations of ground war Fox alerts

Although the 24th ID covered much ground during the ground war, fighting was sporadic. The 52 men of the Scout Platoon, 3/7 Infantry did not suffer any casualties during the conflict and the commander specifically remembers no chemical incidents.[84] The entire 1st Brigade to which the 3/7 Infantry Battalion was attached suffered one conventional battle casualty and one reported toothache.[85] The platoon leader and the battalion operations officer were never informed of a Fox vehicle alert and at no time did the Scout Platoon, 3/7 Infantry go to the maximum mission oriented protective posture.[86] During the ground war, the Scout Platoon, 3/7 Infantry, Fox was used as an on-the-move vapor detector.[87]

Sections from both the Edgewood and PAC tapes have been used to provide a more complete picture of the four ground war alerts. To view all segments of both copies please refer to the side-by-side comparison of the Edgewood tapes and the PAC tapes in Tab E. The timeline of ground war alerts (Figure 10) provides an overview of the dates and times of the Fox alerts discussed in sub-sections a through d that follow.

Figure 10.  Timeline of ground war alerts (February 24 - March 1, 1991)Figure 10. Timeline of ground war alerts (February 24 - March 1, 1991)

a. Alert 5: February 24, 1991, 2:34 AM

At 2:34 AM, on February 24, 1991, the MM-1 alerted for HT mustard at 1.9 ion intensity. After this alert, the MM-1 operator switched the sampling method several times between Air/Hi and Surface/Lo and no subsequent alerts occurred (Figure 11).

Figure 11.  Fox tape, February 24, 1991Figure 11. Fox tape, February 24, 1991

Analysis of Alert 5

Although this incident occurred about 90 minutes before the ground war officially began at 4:00 AM,[88] investigators consider this a ground war alert because the Scout Platoon, 3/7 Infantry had officially begun its ground war mission.[89]

The recommended speed of the Fox while using the wheels to sample is 8 to 12 miles per hour. Use of the wheels in sampling is noted on the MM-1 tape by the use of a "C." There are times when the MM-1 will improperly indicate that the wheels are being used.[90] Although some of the Fox tapes from the ground war, including this incident, indicate the sampling wheels were in use at the time of the alerts, according to an interview with the MM-1 operator, all the readings during the ground war were taken using the Air/Hi method. He stated that the task force to which the Fox was assigned was often moving too fast for the sampling wheels to be used.[91] As discussed in the analysis of Alert 3, Air/Hi alerts are suspect because the MM-1 in the Fox vehicle is not well suited to act as a vapor detector.[92]

As with Alert 3, UNSCOM inspectors did not find HT mustard in the Iraqi inventory, although the unpure HD mustard found contained trace amounts of HT as a byproduct. The only likely means of delivery for any type of mustard would have been 155mm artillery, and the Scout Platoon, 3/7 Infantry, was not fired on by the Iraqis at this time.[93],[94] Given the low volatility of HT mustard, an obvious liquid source for the alert would be expected and the Fox commander recalls no attack that would have provided such a chemical warfare agent source.[95],[96] There is also an absence of HD mustard, which is the more volatile component of HT and would be expected to be identified in the same sample. Finally, as in the previous alerts, there is the low ion intensity level of this alert, casting additional doubt on its validity. For these reasons, this alert of HT mustard was not valid.

b. Alert 6: February 26, 1991, 8:47 PM

Two days later at 10:58 AM on February 26, the MM-1 operator took the first of three full spectra even though the MM-1 did not register an alarm (Figure 12). Two of the three spectra produced "unknown" readings. A print-out of all the spectra (not replicated in Figure 12 but shown in Tab E) indicated that the unknown compounds were actually air with some residual calibration gas (FC 77) mixed in. These spectra were taken in the surface monitor mode. Several hours later at 8:47 PM (20:47) the MM-1 alerted for the nerve agent VX, registering 1.8 ion intensity level. From the tapes it appears that the MM-1 operator did not perform a spectrum at this time and the MM-1 did not register any subsequent alerts. The next action recorded on the tape is more than three hours later (12:07 AM, 00:07) and many kilometers away when the MM-1 operator performed a spectrum that showed an unknown substance.

Figure 12.  Fox tape, February 26, 1991Figure 12. Fox tape, February 26, 1991

Analysis of Alert 6

From the time that the MM-1 operator performed the first spectrum at 11:29 AM to the time that the VX alert occurred at 8:47 PM (about 9 hours and 30 minutes), the MM-1 probe was never cleaned by running a temperature program, which means that the probe was probably contaminated and thus prone to a false alert or alarm.[97] Additionally, four hours before the VX alert, the Fox was engaged with Iraqi troops (note the operator’s personal commentary: "CONTACT…CONTACT…IRAQIS EVERYWHERE…"). There are no reports of chemical warfare agents being used during this encounter, and no reported casualties.[98] Fumes from conventional explosives (non-nuclear, chemical or biological) that may have been used in this encounter are a common interferent that could cause the Fox to issue a false alert or alarm.[99] Like all the Fox crews in the Gulf, this crew had not been trained to operate the vehicle in the surface monitor detection mode.[100]

UNSCOM was unable to fully account for Iraqi VX production. Although UNSCOM found no VX-filled munitions or agents during the first four years of inspections, Iraq admitted in 1995 that it produced 1.8 tons of VX before abandoning this production program in 1990 in favor of sarin and cyclosarin.[101] According to the CIA expert on Iraq’s chemical warfare program, Iraq admitted to filling three aerial bombs with VX to test storage life. Additionally, UNSCOM detected VX on three warheads for the Iraqi Scud variant.[102] Since Iraqi aircraft did not fly ground attack sorties after January 25, 1991, and they had no deployed VX-filled weapons, it was not possible for VX to be delivered by aircraft against Coalition forces at this date.[103] Similarly, the last Scud launch of any kind during the war occurred 18 hours before the VX alert. Furthermore, this Scud landed near Doha, Qatar, far from the location of this alert.[104] Similar to HT mustard, VX is a liquid that does not easily vaporize. For this reason, the Fox vehicle has almost no capability to detect VX as a vapor.[105]

c. Alert 7: February 27, 1991, 12:08 AM

At 12:07 AM (00:07) the next day, February 27, the Fox operator performed a spectrum. The only alert we have a record of before this spectrum was from more than three hours earlier as discussed in alert 6. It is not known why this spectrum was performed. One minute later, the MM-1 alerted for precursor GA (tabun) at a low ion intensity level (Figure 13). Precursors chemicals are mixed with other precursor chemicals to make chemical warfare agents. One minute immediately after the alert, the MM-1 operator performed spectra which produced "unknown" readings. These spectra ruled out the presence of precursor GA.

Figure 13.  Fox tape, February 27, 1991Figure 13. Fox tape, February 27, 1991

Approximately 30 minutes later, at 12:32 AM, the MM-1 alerted again for precursor GA. The operator immediately performed another spectrum, which again produced another "unknown" reading ruling out the presence of precursor GA.

Minutes later, at 12:37 and 12:38 AM, the MM-1 alerted for lewisite and precursor GA at low intensities. The alerts for lewisite and precursor GA did not repeat, but the MM-1 alerted for HT mustard at 12:38 AM.

Analysis of Alert 7

These alerts occurred four hours after Alert 6. The complete tapes in Tab E show that between Alert 6 and 7 the sampling probe was not cleaned and was therefore susceptible to false alerts or alarms. The two spectra (12:07 and 12:08 AM) ruled out the presence of precursor GA. Precursor GA is not a chemical warfare agent; it is a chemical building block used to create tabun.[106] As described in the analysis section of Alert 1, UNSCOM and CIA assess that there were no deployed tabun weapons.[107] At the time of the tabun alerts, the Fox vehicle was not under attack. Since Iraqi aircraft did not fly ground attack sorties after January 25, 1991,[108] the Fox vehicle did not detect tabun or precursor GA.

During their inspections, UNSCOM did not find any lewisite in the Iraqi inventory. Lewisite was researched but not produced or weaponized by Iraq,[109] thus it was not present on the battlefield.

The "D" next to the HT mustard on the tape indicates that the MM-1 operator was running the temperature program to clean the MM-1 probe at the time of the HT mustard alerts. While the probe is being cleaned, significant ion activity is occurring, allowing interferents to cause false alarms. Even if the MM-1 was not being cleaned at the time of the alarm, it would be very difficult for the MM-1 to detect HT mustard due to the low amount of vapor it emits. After the temperature program completed, the MM-1 recorded no alerts for over three hours.[110]

There was also no alert for HD mustard, the more volatile component of HT—indicating a false alert. (See Alerts 3 and 5 above.) As noted in other alerts, Iraqi ground-attack aircraft did not fly after January 25, 1991, therefore aerial bombs did not deliver the agents the Fox alerted for. The only means of ground system delivery for mustard agent was 155mm artillery, but during this alert, the Fox was not receiving any artillery fire. Finally, the ion intensity levels of all these alerts for precursor tabun, lewisite, and HT mustard were very low, making it even more unlikely that the alerts were true.[111] Based on the operational insights that state the unit was not under attack, the absence of these agents in the Iraqi inventory, as well as the two spectra that show the absence of chemical warfare agents this Fox vehicle did not detect any chemical warfare agents in this incident.

d. Alert 8: February 27, 1991, 3:57 AM

About three-and-a-half hours later, at 3:57 and 3:58 AM, the MM-1 alerted for dimethylphthalate and diethyphthalate, both confidence check simulants, while operating in the Test/Lo method (Figure 14). Approximately five hours later, at 9:33 and 9:34 AM, the MM-1 alerted for HT mustard. Between the alerts for the simulants and the alerts for HT, the MM-1 operator switched from the Test/Lo method to the Air/Hi method. The MM-1 operator performed a full spectrum a minute after the HT alert. The spectrum indicated the presence of FC 77, the calibration gas.

Figure 14.  Fox tape, February 27, 1991Figure 14. Fox tape, February 27, 1991

Analysis of Alert 8

Like Alert 4, the MM-1 alerted here for confidence check simulants while in the Test/Lo method. The MM-1 only monitors for confidence check simulants in the Test/Lo method. When the method was changed to Air/Hi, a temperature program was not run after the confidence checks to clear the simulants. The confidence check simulants were therefore never cleaned from the probe, making it prone to false alerts or alarms.[112]

Once again, the ion intensity levels of these HT mustard alerts were very low, making it doubtful that the alerts were true based on this fact alone. Moreover, once again, there was no alert for HD mustard, the more volatile component of HT, indicating a false alert.[113] (See Alerts 3, 5, and 7 above.) It is now known that Iraq weaponized HD, not HT, though a trace amount of HT was contained in HD as a production byproduct.[114] The absence of an Iraqi attack, HT not being in the Iraqi inventory combined with the spectrum indicating FC 77 rules out the presence of HT mustard and confirms simulants were still present in the probe.[115]

IV. Assessment

In December 1993, a memo from the Army’s Fox vehicle experts at CBDCOM concluded that although their analysis could not be guaranteed with absolute certainty, they believed that the original seven incidents on the Fox tapes were false alarms. This conclusion was based principally on the experts’ observation that procedures used for verifying the presence of chemical warfare agents were not followed. During the PAC’s 1997 investigation, the PAC received a second set of Fox tapes which contained an additional alarm incident and some additional test information. In October 1998, after reviewing both sets of tapes together, the Fox experts from CBDCOM felt the additional information further supported the conclusions contained in their 1993 memo and led them to believe with a higher degree of certainty that all eight detections were false alarms.

In the eight incidents (Table 1), the Fox alerted for a variety of chemical compounds that included chemical warfare agents, chemical warfare agent precursors, and compounds used to test the MM-1. Although these initial alerts indicate the possibility of chemical warfare agent presence, there is no confirmatory evidence to support chemical warfare agent detections from any other chemical warfare agent detectors and the Fox tapes contain data that refute the presence of chemical warfare agents. The technical analysis of the Fox tapes found that due to the low ion intensity level for each of the initial alerts and the improper MM-1 operating procedures, all the alerts recorded on the Fox tapes were highly unlikely to be positive detections of chemical warfare agents.

Table 1. Summary Of Fox Alerts

AlertDate/TimeFox Reported Agent(s)Comments
 1 Feb. 1, 10:10 am phosgene oxime and tabun

Phosgene oxime not identified in Iraqi inventory, Tabun not deployed and only delivered by aircraft.

2 Feb. 1, 3:24 pm tabun Tabun not deployed and only delivered by aircraft, no Iraqi sorties after January 25. 
3 Feb. 14, 9:24 am HT Mustard HD, not HT, in Iraqi inventory. HT not normally present without HD. 
4 Feb. 14, 10:02 am and 10:41 am phosgene oxime, dimethylphthalate and diethylphthalate Phosgene oxime not identified in inventory. Other two gases are simulants. Spectrum identified simulant. 
Feb. 24, 2:34 am HT mustard HD, not HT, in Iraqi inventory. HT not normally present without HD. 
Feb. 26, 8:47 pm VX VX only weaponized for Scuds, no Scuds launched at this time and location. Simulant also present. 
7 Feb. 27, 12:08 and 12:32 am precursor GA, lewisite, HT mustard HT and lewisite not in Iraqi inventory. HT not normally present without HD. GA only found in two aircrafts delivered bombs. Spectrum does not identify a known CW agent. 
8 Feb. 27, 3:57 am and 9:33 am dimethylphthalate, diethylphthalate and HT mustard  First wo gases are simulants. HD, not HT, in Iraqi inventory. HT not normally present without HD. Spectrum refutes the alert. 

CBDCOM limited its analysis to the information printed on the Fox tapes and obtained during the interview with the soldier. It had no access to any operational information. Despite their limited information, CBDCOM was still able to say with a very high degree of confidence that these were not positive detections of chemical warfare agents. Our investigation into these alerts augmented CBDCOM’s analysis of the Fox tapes with information on the operational situation of the 2/4 CAV and 3/7 Infantry, as well as data on Iraq’s chemical warfare capabilities. We also sought to corroborate these alerts by M-8 alarms, M256 kits, possible chemical warfare agent symptoms or injuries.

Interviews with key personnel in the 24th Infantry division did not corroborate these alerts; no other chemical warfare agent detector alarms or tests supported these alerts. Additionally, according to unit commanders and medical personnel, none of the unprotected personnel in the units near the Fox vehicle exhibited any symptoms of chemical warfare agent exposure. Furthermore, the commanders of the 2/4 CAV and the Scout Platoon, 3/7 Infantry, have stated that they never ordered their troops to don their protective garments at any of these times, and the medical officers and staff of the units involved reported that they never treated or diagnosed any chemical warfare agent casualties. Additionally, these Fox alerts were not reported to a higher command.

Several of the agents indicated by the eight alerts could not have been present based on our knowledge of Iraq’s chemical warfare agent inventory. Phosgene oxime, precursor GA, and lewisite were not identified by UNSCOM as agents possessed by Iraq. Although Iraq possessed the nerve agent VX, it only filled three Scud warheads and three aerial bombs and these munitions could not have been employed in engagements with elements of the 24th Infantry Division on the date of the VX alert. Iraq also possessed two tabun filled aerial bombs. The last Scud launch of any kind during the war occurred 18 hours before the VX alert and this Scud landed near Doha, Qatar. Additionally, Iraq did not fly any ground attack sorties during the timeframe of any of these alerts. HT mustard was not a part of Iraq’s chemical warfare agent inventory. However, HD mustard that had a trace amount of HT mustard did exist. Any Fox alert for HT would have required a simultaneous presence of HD mustard and this did not occur. The means of delivery for HD mustard, artillery or aircraft, were also absent during these alerts. Finally, three of the alerts involved simulants used to check the operation of the MM-1 and the Fox identified them as such.

Based on our current understanding, there is no reason to believe that chemical warfare agents were present during any of these alerts. CBDCOM analysis of the tapes concluded that the alerts were highly unlikely. The expanded scope of our investigation allows us to go further. The operator performed several spectra and they show conclusively that chemical warfare agents were not present in those possible incidents. The agents indicated by the alerts did not exist in the Iraqi inventory, lacked a known delivery means, or would normally have been present with other chemical warfare agents for which the Fox did not alert. Also, at the time these Fox alerts occurred, Iraqi forces were not present and the area was not under attack. Therefore, we are able to go beyond the CBDCOM’s assessment of highly unlikely, and state that the Fox vehicle definitely did not detect chemical warfare agents.

V. Lessons Learned

A. Communications Procedures

The vehicle commander and the rest of the crew must clearly understand, before the start of a conflict, what level of alert will be reported to the vehicle commander and what level of alarm will be reported to the higher command.

B. Fox Tapes

During the Gulf War, there were no established procedures for archiving Fox MM-1 tapes. Fortunately, in this case, the Fox tapes were in the possession of a member of the Fox crew. Steps should be taken to ensure that all Fox results (tapes) are preserved.

C. Training

The evidence on the Fox tapes implies that training of Gulf War Fox crews may have been insufficient. The rapid training program and the short time the crews had with the vehicles before departing for the Persian Gulf may have been causes. The current Fox vehicle classes at the US Army Chemical School are considerably longer.

This case is still being investigated. If additional information becomes available, it will be incorporated into a revised narrative. If you have records, photographs, recollections, or find errors in the details reported, please call 1-800-497-6261.

Tab A - Acronyms, Abbreviations, & Glossary

CBDCOM Chemical and Biological Defense Command

CIA Central Intelligence Agency

CWA chemical warfare agent

DOD Department of Defense

FORSCOM Forces Command

ID infantry division

NBC nuclear, biological, and chemical

NBCRS Nuclear Biological Chemical Reconnaissance System

ODS Operation Desert Storm

PAC Presidential Advisory Committee on Gulf War Veterans Illnesses

PM program manager

PGIIT Persian Gulf Illnesses Investigation Team

SBCCOM US Army Soldier and Biological Chemical Command

SRBM short range ballistic missile

Blister agent

A blister agent is a chemical warfare agent that produces local irritation and damage to the skin and mucous membranes, pain and injury to the eyes, reddening and blistering of the skin, and when inhaled, damage to the respiratory tract. Blister agents include mustards (HD, HN, HQ, HT, and Q), arsenicals like lewisite (L), and mustard and lewisite mixtures (HL). Blister agents are also called vesicants or vesicant agents.[116],[117]

Chemical and Biological Defense Command (CBDCOM)

CBDCOM is a US Army command with a mission to provide research, development, and acquisition for nuclear, biological, chemical (NBC), and obscurant (smoke generating) equipment for the US Forces; to act as the Army NBC defense commodity command; to provide management of joint service NBC defense material; to provide US chemical stockpile management and safe storage; to provide installation management; to prepare for and respond to chemical biological emergency events/accidents; provide weapons of mass destruction (chemical or biological) domestic preparedness support; to conduct emergency remediation/restoration actions at chemical sites; to provide successful planning, management, and execution of treaty responsibilities; and to provide demilitarization support. The Chemical and Biological Defense Command merged with the Soldier Support Command to form the Soldier and Biological Chemical Command, however their nuclear, biological and chemical mission remains the same.[118]

Chemical Contamination

The presence of a chemical warfare agent on a person, object, or area. The contamination density of an agent is usually expressed in either milligrams or grams per square meter (mg/m2, g/m2) or in pounds per hectare (lb/ha). A hectare is 10,000 square meters.[119]

Chemical warfare agent (CWA)

A CWA is a chemical substance excluding riot control agents, herbicides, smoke, and flame, used in military operations to kill, seriously injure, or incapacitate though its physiological effects. Included are blood, nerve, blister, choking, and incapacitating agents.[120]

Fox Nuclear, Biological, Chemical (NBC) Reconnaissance System

The Fox vehicle is a six-wheeled, light armored vehicle designed primarily for reconnaissance of liquid chemical warfare agent hazards. On-board chemical warfare agent detection capabilities include the MM-1 mobile mass spectrometer, which is the primary detection device, the M43A1 chemical agent detector, which is an integral component of the M8 alarm system, and the M256A1 chemical agent detector kit. The Fox is also equipped with two radiation detectors. The Fox does not provide any biological warfare agent detection capability, but it does protect the crew from biological hazards, and it allows the crew to mark areas of potential hazard and safely take samples for laboratories to analyze for biological hazards.[121]

GA

A G-series nerve agent known as tabun. Chemical name: Ethyl N,N-dimethylphosphoroamidocyanidate[122]

GB

A G-series nerve agent known as sarin. Chemical name: Isopropyl methyl phosphonofluoridate[123]

GD

A G-series nerve agent known as Soman. Chemical name: Pinacolyl methyl phosphonofluoridate[124]

GF

A G-series nerve agent known as cyclosarin. Chemical Name: O-Cyclohexyl-methylfluorophosphonate[125]

G-series nerve agents

G-series nerve agents are lethal chemical warfare agents that work by inhibiting the proper functioning of the cholinesterase enzymes needed for the transmission of nerve impulses throughout the body. These agents affect the functioning of all bodily systems, including the eyes, nose, throat, lungs, and muscles. The G-series nerve agents include tabun (GA), sarin (GB), soman (GD), and cyclosarin (GF). The normal sequence of symptoms is a running nose, tightness of the chest, dimness of vision and pinpointing of the eye pupils, difficulty breathing, drooling and excessive sweating, nausea, vomiting, cramps, involuntary defecation and urination, twitching, jerking and staggering, headache, confusion, drowsiness, and coma. Cessation of breathing and death follow.[126]

HD

A blister agent known as distilled mustard. Chemical name: Bis-(2-chloroethyl) sulfide[127]

HL

A blister agent known as mustard—lewisite. Chemical names: HD: Bis-(2-chloroethyl) sulfide. L: Dichloro-(2-chlorovinyl)arsine[128]

HN (-1, -2, & -3)

A blister agent known as nitrogen mustard. Chemical names: HN-1: Bis-(2-chloroethyl) ethylamine, HN-2: Bis-(2-chloroethyl)methylamine, HN-3: Tris-(2-chloroethyl) amine[129]

HQ

A blister agent mixture of sulfur-mustard and sesqui-mustard. Chemical names: HD: Bis-(2-chloroethyl) sulfide and Q: 1,2-Bis (2-chloroethylthio) ethane[130]

H-series blister agents

A series of persistent blister agents that includes levinstein (sulfur) mustards (H), distilled mustard (HD), nitrogen mustards (HN), a mustard-lewisite mixture (HL), a mustard T mixture (HT), a sulfur-mustard/sesqui-mustard mixture (HQ), and sesqui-mustard (Q)[131],[132]

HT

A blister agent known as mustard-t mixture. Chemical name: HD: Bis-(2-chloroethyl) sulfide and T: Bis [2(2-chloroethylthio) ethyl] ether[133]

Ion

An ion is an atom or group of atoms that carries a positive or negative electrical charge because of having lost or gained one or more electrons.[134]

Lewisite (L)

A blister agent known as lewisite. Chemical Name: Dichloro-(2-chlorovinyl)arsine[135]

M256 chemical warfare agent detector kit

In the field, the M256-series chemical warfare agent detector kit is referred to simply as the M256 kit. The M256 kit is a portable, expendable item capable of detecting and identifying hazardous concentrations of blister, blood, and nerve agents. The M256 kit is used after a chemical warfare agent warning to test for and confirm the presence and type of chemical warfare agent, and to determine if it is safe to unmask. The M256A1 kit has replaced the M256 kit. The only difference between the two kits is that the M256A1 kit will detect lower levels of nerve agent. US forces used both the M256 kit and the M256A1 kit were used during the Gulf War.

Some smokes, high temperatures, standard US decontamination solution number two (DS2), and petroleum products may cause false readings. Results may be inaccurate when sampling is performed in smoke from burning debris.[136]

MM-1 mobile mass spectrometer

The MM-1 mobile mass spectrometer is the primary chemical warfare agent detector in the Fox reconnaissance vehicle. During Operation Desert Storm, the MM-1 monitored against a target list of up to 22 pre-selected chemical warfare agents most likely to be present, based on intelligence reports of the suspected chemical warfare agent threat.

To speed the initial search, the sampling probe operates at 180� C and the MM-1 looks for only four ion peaks of each detected chemical warfare agent and attempts to match the target list of chemicals against the pattern and ratio of these peaks. If an initial match is made with these four ion peaks at a pre-determined intensity and relationship, the MM-1 sounds an alarm. However, this first alarm does not confirm the presence of a chemical warfare agent, since there are many chemicals that have similar ion peaks and many combinations of chemicals that may yield ion patterns similar to those in the target list. Consequently, the MM-1 can falsely indicate the presence of dangerous chemical warfare agents.

To more conclusively determine what chemical is present, the operator must lower the sampling probe temperature to 120� C, reacquire a sample of the suspected substance, and run a spectrum analysis with the MM-1 against all the detection algorithms stored in the MM-1 chemical library. For more detailed analysis later, the complete ion spectrum of the suspected sample can be printed on a paper tape.[137]

MOPP

Mission oriented protective posture (MOPP) is a flexible system used to direct the wearing of chemical protective garments and mask to balance mission requirements with the chemical warfare agent threat. Wearing chemical protective garments and mask provides individuals protection against most known chemical warfare agents, biological agents, and toxins.

In MOPP Level 0 individuals carry their protective mask while their remaining MOPP gear must be readily available (e.g., within the work area, fighting position, living space, etc.) In MOPP Level 1, individuals wear their overgarment and carry the rest of their MOPP gear. For MOPP Level 2, individuals wear their overgarment and overboots while carrying the mask with hood and gloves. At MOPP Level 3, individuals wear their overgarment, overboots, and mask with hood, but not the gloves, and at MOPP Level 4, individuals wear all their MOPP gear.[138] During the Gulf War, commanders could raise or lower the amount of protection through five levels of MOPP. In addition, commanders, under certain situations, could exercise a mask-only option.[139]

Nerve agents

Nerve agents are the most toxic of the chemical warfare agents. Nerve agents are absorbed into the body through breathing or absorption through the skin. They affect the nervous and the respiratory systems and various body functions. They include the G-series and V-series chemical warfare agents.[140]

Soldier Biological and Chemical Command (SBCCOM)

Headquartered at Aberdeen Proving Ground, Maryland, SBCCOM has a broad research, development and acquisition mission to ensure the decisive edge and maximum protection for the United States. SBCCOM develops, acquires, and sustains soldier, soldier support, and nuclear, biological, and chemical defense technology, systems, and services. SBCCOM also provides for safe storage, treaty compliance, and destruction of chemical materiel.[141]

Tabun

A nerve agent known as GA. Chemical name: Ethyl N, N-dimethylphosphoroamidocyanidate[142]

Urticant

A substance that causes a burning or itching of the skin such as that caused by nettle stings.[143]

V-series agents

V-series agents are persistent, highly toxic nerve agents developed in the mid-1950s and absorbed primarily through the skin. V-series agents are generally odorless liquids which do not evaporate rapidly. The standard V agent is VX. [144]

VX

V-series nerve agent. Chemical name: O-ethyl-S-(2-diisopropylaminoethyl)methyl phosphonothiolate[145]

Tab B - Units Involved

  • 2nd Squadron, 4th Cavalry Regiment, 24th Infantry Division (2/4 CAV)
  • Scout Platoon, 3rd Battalion, 7th Infantry Regiment, 1st Brigade, 24th Infantry Division (3/7 Infantry)

Tab C - Bibliography

Brletich, Nancy R., Mary Jo Waters, Gregory W. Bowen, Mary Frances Tracy, Worldwide Chemical Detection Equipment Handbook, Chemical and Biological Defense Information Analysis Center, October 1995.

Bruker-Franzen Analytik, GMBH, "MM-1 User Manual," February 1987.

Convention on the Prohibition of the Development, Production, Stockpiling, and Use of Chemical Weapons and on Their Destruction," April 29, 1997.

CW Procedural Text for Chemical CORPS Field Laboratories, "Book 1 Chemistry of CW Agents," Army Chemical Center, MD, January 7, 1954.

DOD Dictionary of Military Terms, web site www.dtic.mil/doctrine/jel/doddict/data/t/06057 (as of June 18, 1999).

Fax from Project Manager for NBC Defense Systems, Subject: "Interferents," December 7, 1998.

Fax from Presidential Advisory Committee on Gulf War Veterans’ Illnesses, Subject: "Edgewood Tapes," July 27, 1997.

Final Report to Congress, "Conduct of the Persian Gulf War," April 1992.

Gulf War Air Power Survey (GWAPS), Volume II, "Effects and Effectiveness," US Government Printing Office, 1993.

Lead Sheet #764, Fox vehicle detections, capabilities, limitations, May 20, 1996.

Lead Sheet #6670, Interview of Task Force 4-64 Commander, October 30, 1997.

Lead Sheet # 20043, Interviews of Fox vehicle commander, December 4, 1997, May 5, 1998, May 13, 1998, and November 12, 1998.

Lead Sheet #20035, Interview of MM-1 operator, December 11, 1997.

Lead Sheet #20381, Meeting with CBDCOM Fox vehicle experts, October 27, 1998.

Lead Sheet #20713, Interview with investigator, December 11, 1998.

Lead Sheet #23181, Meeting with Fox subject matter experts, May 6, 1999.

Lead Sheet #23319, Meeting with Fox subject matter experts, July 13, 1999.

Lead Sheet #23390, Interview of 3/7 Infantry Scouts commander, May 18, 1999.

Lead Sheet #23598, Interview of 3/7 Medical Platoon commander, May 13, 1999.

Lead Sheet #23599, Interview of 3/7 Infantry Scouts commander, May 18, 1999.

Lead Sheet #23644, Interview of 2/4 Cavalry commander, May 26, 1999.

Lead Sheet #23645, Interview of 2/4 Cavalry surgeon, May 26, 1999.

Lead Sheet #23672, Interview of PAC investigator, May 27, 1999.

Lead Sheet #23758, Interview of PAC investigator, June 3, 1999.

Lead Sheet #23733, Interview of PAC Fox vehicle expert, June 1, 1999.

Lead Sheet #24462, PAC records at the National Archives search, July 22, 1999.

Lead Sheet #25196, Interview of CIA expert on Iraqi chemical warfare, October 8, 1999.

Lead Sheet #26904, Interview with chemical warfare agent expert, February 9, 2000.

Letter from Office of the Secretary of Defense, Special Assistant for Gulf War Illnesses, Subject: "Fox Tapes," February 17, 1999.

Memorandum from Department of the Army, Office of the Project Manager for NBC Defense Systems to Department of the Army, Office of the Deputy Chief of Staff for Operations and Plans, Subject: "Evaluation of Nuclear Biological Chemical Reconnaissance System (NBCRS) FOX Printouts from Operations Desert Storm (ODS)," December 17, 1997.

Memorandum from NBC Reconnaissance Office, Subject: "Results of the Combat Systems Test Activity (CSTA) MM-1 Excursion Test," July 14, 1993.

"MM-1 User Manual," Revised Version, August 1992.

National Institute for Standards and Technology (NIST), e-mail message @ 11:03 AM, Subject: Fox tape report," January 7, 1998.

Presidential Advisory Committee for Gulf War Veterans Illnesses web site, www.gwvi.gov/eonew (as of January 30, 1997).

"Report of the Defense Science Board Task Force on Persian Gulf War Health Effects," June 1994, web site www.gulflink.health.mil/dsbrpt/warfare.html (as of June 28, 1999).

SBCCOM mission statement, web site www.sbccom.army.mil/about/mission.htm (as of September 2, 1999).

Scales, General Robert H., Certain Victory: The US Army in the Gulf War, Fort Leavenworth, KA, US Army Command and General Staff College Press, 1994.

Special Assistant for Gulf War Illnesses, "Fox NBC Reconnaissance Vehicle" (Information Paper), July 31, 1997, web site www.gulflink.health.mil/foxnbc/.

Special Assistant for Gulf War Illnesses, "Khamisiyah" (Case Narrative) April 14, 1997, web site: www.gulflink.health.mil/khamisiyah/.

Special Assistant for Gulf War Illnesses, "M8A1 Automatic Chemical Agent Alarm" (Information Paper), November 13, 1997, web site www.gulflink.health.mil/m8a1alarms/.

Special Assistant for Gulf War Illnesses, "Mission Oriented Protective Posture (MOPP) and Chemical Protection" (Information Paper), November 13, 1997, web site: www.gulflink.health.mil/mopp/.

Special Assistant for Gulf War Illnesses, "Reported Detection Of Chemical Agent, Camp Monterey, Kuwait" (Case narrative), May 15, 1997, web site www.gulflink.health.mil/camp_mont2/.

"Standalone Version of Chapter 11 - Possible Chemical Warfare Agent Release - From 9 June 1997 Draft of Iraqi Chemical Warfare: Analysis of Information Available to DoD," September 3, 1997, p. 28, web site http://www.gulflink.health.mil/mitre_report/1997254-0000139_0000001.html.Testimony of Mr. Rich Vigas before the Presidential Advisory Committee on Gulf War Veterans Illnesses (PAC ), May 7, 1997.

The United Nations and the Iraq-Kuwait Conflict 1990-1996, United Nations, New York, 1996.

"UN Panel Confirms Nerve Gas in Iraqi Warheads," CNN, October 26, 1998.

US Army Field Manual 3-3, US Marine Corps Fleet Marine Force Manual, "Chemical and Biological Contamination Avoidance," September 29, 1994.US Army Field Manual 3-4, US Marine Corp Fleet Marine Force Manual 11-09, "NBC Protection," February 21, 1996.

US Army Field Manual 3-9, US Navy Publication P-467, US Air Force Manual 355-7, "Potential Military Chemical/Biological Agents and Compounds," December 12, 1990.

US Army Field Manual 8-285, US Navy Medical Publication P-5041, US Air Force Joint Manual 44-149, US Marine Corps Fleet Marine Force Manual 11-11, "Treatment Of Chemical Agent Casualties and Conventional Military Chemical Injuries, Glossary, Section II, "Definitions And Terms," December 22, 1995, web site www.nbcmed.org/SiteContent/MedRef/OnlineRef/FieldManuals/fm8_285/PART_I/index.htm (as of June 25, 1999).

US Army Material Safety Data Sheet on HQ Mustard, Aberdeen Proving Ground, MD, June 30, 1995.

US Army Office of the Surgeon General, "Textbook of Military Medicine: Warfare, Weaponry, and the Casualty; Medical Aspects of Chemical and Biological Warfare," 1997.

US Army Pamphlet 385-61, "Toxic Chemical Agent Safety Standards," Washington, DC, March 31, 1997.

"US Marines in the Persian Gulf, 1990-1991: With the I Marine Expeditionary Force in Desert Shield and Desert Storm," History and Museums Division, Headquarters, US Marine Corps, Washington D.C., 1993.

WWWebster Dictionary copyright � 1998 by Merriam-Webster, Incorporated, web site www.m-w.com/dictionary (as of May 3,1999).

TAB D - Methodology For Chemical Warfare Incident Investigation

The Department of Defense requires a common framework for our investigations and assessments of chemical warfare agent reports, so we turned to the United Nations and the international community, which had chemical weapons experience (e.g., the United Nations’ investigation of the chemical weapons used during the 1980-88 Iran-Iraq war). Because the modern battlefield is complex, the international community developed investigation and validation protocols[146] to provide objective procedures for possible chemical weapons incidents. The methodology we are using is based on these international protocols and guidelines. The methodology includes:

  • A detailed written record of the conditions at the site;
  • Physical evidence from the site such as weapons fragments, soil, water, vegetation, or human or animal tissue samples;
  • A record of the chain of custody during transportation of the evidence;
  • The testimony of witnesses;
  • Multiple analyses; and
  • A review of the evidence by an expert panel.

While the methodology used to investigate chemical incidents (Figure 15) is based on these protocols, the passage of time since the Gulf War makes it difficult to obtain certain types of documentary evidence, and physical evidence often was not collected at the time of an event. Therefore, we cannot apply a rigid template to all incidents, and each investigation must be tailored to its unique circumstances. Accordingly, we designed our methodology to provide a thorough, investigative process to define the circumstances of each incident and determine what happened. The major efforts in our methodology are:

  • To substantiate the incident;
  • To document available medical reports related to the incident;
  • To interview appropriate people;
  • To obtain information available to external organizations; and
  • To assess the results.

A case usually starts with a report of a possible chemical warfare agent incident, often from a veteran. To substantiate the circumstances surrounding an incident, the investigator searches for documentation from operational, intelligence, and environmental logs. This focuses the investigation on a specific time, date, and location, clarifies the conditions under which the incident occurred, and determines whether there is "hard," as well as anecdotal, evidence.

methodologyFigure 15. Chemical incident investigation methodology

Alarms alone are not considered to be certain evidence of chemical warfare agent presence, nor is a single observation sufficient to validate a chemical warfare agent presence. The investigator looks for physical evidence collected at the time of the incident that might indicate that chemical agents were present in the vicinity of the incident. Such evidence might include tissue samples, body fluid samples, clothing, environmental samples of soil or vegetation, weapons parts, and Fox MM-1 tapes with properly documented spectrums.

The investigator searches available medical records to determine if any personnel were injured by the incident. Deaths, injuries, sicknesses, etc., near the time and location of an incident are noted and considered. Medical experts are asked to provide information about any alleged chemical warfare agent casualties.

Interviews of those involved in or near the incident (participants or witnesses) are conducted. First-hand witnesses provide valuable insight into the conditions surrounding the incident and the mind-set of the personnel involved, and are particularly important if physical evidence is lacking. Nuclear, biological, and chemical officers or personnel trained in chemical testing, confirmation, and reporting are interviewed to identify the unit’s response, the tests that were run, the injuries sustained, and the reports submitted. Commanders are contacted to ascertain what they knew, what decisions they made concerning the events surrounding the incident, and their assessment of the incident. Where appropriate, subject matter experts also provide opinions on the capabilities, limitations, and operation of technical equipment, and submit their evaluations of selected topics of interest.

Additionally, the investigator contacts agencies and organizations that may be able to provide additional clarifying information about the case. These would include, but not be limited to:

  • Intelligence agencies that might be able to provide insight into events leading to the event, imagery of the area of the incident, and assessments of factors affecting the case;
  • The clinical registries of the Departments of Defense and Veterans Affairs which may provide data about the medical condition of personnel involved in the incident; and
  • Agencies capable of computer modeling meteorological and source characterization data in cases where airborne dispersion of agent is suspected.

Once the investigation is complete, the investigator evaluates the available evidence in order to make a subjective assessment. The available evidence is often incomplete or contradictory and thus must be looked at in the total context of what is known about the incident being investigated. Physical evidence collected at the time of the incident, for example, can be of tremendous value to an investigation. Properly documented physical evidence would generally be given the greatest weight in any assessment. The testimony of witnesses and contemporaneous operational documentation is also significant when making an assessment. Testimony from witnesses who also happen to be subject matter experts is usually more meaningful than testimony from untrained observers. Typically, secondhand accounts are given less weight than witness testimony. When investigators are presented with conflicting witness testimony, they look for other pieces of information supporting the statements of the witnesses. Investigators evaluate the supporting information to determine how it corroborates any of the conflicting positions. Generally, such supporting information will fit into a pattern corroborating one of the conflicting accounts of the incident over the others. Where the bulk of corroborating evidence supports one witness more than another, that person's information would be considered more compelling.

Our assessments rely on the investigator’s evaluation of the available information for each investigation. Because we do not expect to always have conclusive evidence, we have developed an assessment scale (Figure 16) ranging from Definitely Not to Definitely, with intermediate assessments of Unlikely, Indeterminate, and Likely. The investigator will use this scale to make a tentative assessment based on facts available as of the date of the report publication. Each case is reassessed over time based on new information and feedback.

Figure 1. Assessment of Chemical Warfare Agent PresenceFigure 16. Assessment of chemical warfare agent presence

The standard for making the assessment is based on common sense: Do the available facts lead a reasonable person to conclude that chemical warfare agents were or were not present? When insufficient information is available, the assessment is Indeterminate until more evidence can be found.

Tab E - Tape Comparison

End Notes

  1. An acronym and abbreviation listing and a glossary can be found at Tab A.
  2. Copies of the tapes are contained in Memorandum from Department of the Army, Office of the Project Manager for NBC Defense Systems to Department of the Army, Office of the Deputy Chief of Staff for Operations and Plans, Subject: "Evaluation of Nuclear Biological Chemical Reconnaissance System (NBCRS) FOX Printouts from Operations Desert Storm (ODS)," December 17, 1993.
  3. Lead Sheet #20035, Interview of MM-1 operator, December 11, 1997, p. 2-3.
  4. Lead Sheet #20035, Interview of MM-1 operator, December 11, 1997, p. 3.
  5. Testimony of Mr. Rich Vigas, US Army Fox vehicle expert, before the Presidential Advisory Committee on Gulf War Veterans Illnesses (PAC), May 7, 1997, p. 47.
  6. Recently renamed as the Soldier and Biological Chemical Command (SBCCOM).
  7. Testimony of Mr. Rich Vigas, US Army Fox vehicle expert, before the Presidential Advisory Committee on Gulf War Veterans Illnesses (PAC), May 7, 1997, p. 87.
  8. Testimony of Mr. Rich Vigas, US Army Fox vehicle expert, before the Presidential Advisory Committee on Gulf War Veterans Illnesses (PAC), May 7, 1997, p. 87-88.
  9. Memorandum from Department of the Army, Office of the Project Manager for NBC Defense Systems to Department of the Army, Office of the Deputy Chief of Staff for Operations and Plans, Subject: "Evaluation of Nuclear Biological Chemical Reconnaissance System (NBCRS) FOX Printouts from Operations Desert Storm (ODS)," December 17, 1993, p. 2.
  10. Memorandum from Department of the Army, Office of the Project Manager for NBC Defense Systems to Department of the Army, Office of the Deputy Chief of Staff for Operations and Plans, Subject: "Evaluation of Nuclear Biological Chemical Reconnaissance System (NBCRS) FOX Printouts from Operations Desert Storm (ODS)," December 17, 1993, p. 1.
  11. Lead Sheet #20713, Interview with PGIIT investigator, December 11, 1998, p. 1.
  12. "Standalone Version of Chapter 11 - Possible Chemical Warfare Agent Release - From 9 June 1997 Draft of Iraqi Chemical Warfare: Analysis of Information Available to DoD," September 3, 1997, p. 28, web site www.gulflink.health.mil/mitre_report/1997254-0000139_0000001.html.
  13. Presidential Advisory Committee for Gulf War Veterans Illnesses web site www.gwvi.gov/eonew (as of January 30, 1997).
  14. Lead Sheet #20713, Interview with PGIIT investigator, December 11, 1998, p. 1.
  15. Lead Sheet #20713, Interview with PGIIT investigator, December 11, 1998, p. 1.
  16. Lead Sheet #20035, Interview of MM-1 operator, December 11, 1997, p. 3.
  17. Fax from Presidential Advisory Committee on Gulf War Veterans' Illnesses, Subject: "Edgewood Tapes," July 25, 1997.
  18. Lead Sheet #20035, Interview of MM-1 operator, December 11, 1997, p. 3.
  19. Lead Sheet #23672, Interview of PAC investigator, May 27, 1999, p. 1; Lead Sheet #23758, Interview of PAC investigator, June 3, 1999, p. 1; Lead Sheet #23733, Interview of PAC Fox vehicle expert, June 1, 1999, p. 1.
  20. Lead Sheet #24462, PAC records at the National Archives search, July 22, 1999, p. 1.
  21. National Institute for Standards and Technology (NIST), Email message, Subject: "Fox tape report," January 7, 1998.
  22. Letter from Office of the Secretary of Defense, Special Assistant for Gulf War Illnesses, Subject: "Fox Tapes," February 17, 1999.
  23. Lead Sheet #20381, Meeting with CBDCOM Fox vehicle experts, October 27, 1998, p. 3.
  24. For additional Fox information, see the glossary found at Tab A and Special Assistant for Gulf War Illnesses, "Fox NBC Reconnaissance Vehicle" (Information Paper), July 31, 1997, web site www.gulflink.health.mil/foxnbc/.
  25. For more information on this vapor detector see Special Assistant for Gulf War Illnesses, "M8A1 Automatic Chemical Agent Alarm" (Information Paper), November 13, 1997, web site www.gulflink.health.mil/m8a1alarms/.
  26. Special Assistant for Gulf War Illnesses, "Fox NBC Reconnaissance Vehicle" (Information Paper), July 31, 1997, web site www.gulflink.health.mil/foxnbc/.
  27. Special Assistant for Gulf War Illnesses, "M8A1 Automatic Chemical Agent Alarm" (Information Paper), November 13, 1997, web site www.gulflink.health.mil/m8a1alarms/; and Special Assistant for Gulf War Illnesses, "M256 Series Chemical Agent Detector Kit" (Information Paper), August 13, 1999, web site www.gulflink.health.mil/m256/.
  28. Lead Sheet #764, Fox vehicle detections, capabilities, limitations, May 20, 1996, p. 3.
  29. Special Assistant for Gulf War Illnesses, "Fox NBC Reconnaissance Vehicle" (Information Paper), July 31, 1997, web site www.gulflink.health.mil/foxnbc/.
  30. Lead Sheet #23181, meeting with Fox subject matter experts, May 6, 1999, p. 3, 4.
  31. An ion intensity is a measure of the amount or level of the ions for a compound in a sample compared to the level in the background or normal air sample. The background sample is captured when the Fox MM-1 is started.
  32. Special Assistant for Gulf War Illnesses, "Fox NBC Reconnaissance Vehicle" (Information Paper), July 31, 1997, web site www.gulflink.health.mil/foxnbc/; US Army Technical Manual 3-6665-342-10, "Operator's Manual, Nuclear-Biological-Chemical Reconnaissance System (NBCRS) Fox XM93," Washington, DC, Change 2, April 21 1995, chapter 1, p. 34.
  33. Testimony of Fox subject matter expert, Mr. Richard Vigus, CBDCOM, before the Presidential Advisory Committee on Gulf War Veterans' Illnesses, May 7, 1997.
  34. Special Assistant for Gulf War Illnesses, "Fox NBC Reconnaissance Vehicle" (Information Paper), July 31, 1997, web site www.gulflink.health.mil/foxnbc/; US Army Field Manual 3-101-2, "NBC Reconnaissance Squad/Platoon (FOX) Operations - Tactics, Techniques, and Procedures," August 10, 1994, p. 5-2, 5-3; Lead Sheet #23181, meeting with Fox subject matter experts, May 6, 1999.
  35. Lead Sheet #23181, meeting with Fox subject matter experts, May 6, 1999, p. 2
  36. Special Assistant for Gulf War Illnesses, "Fox NBC Reconnaissance Vehicle" (Information Paper), July 31, 1997, web site www.gulflink.health.mil/foxnbc/.
  37. Lead Sheet #23181, meeting with Fox subject matter experts, August 26, 1999, p. 4.
  38. Lead Sheet #764, Fox vehicle detections, capabilities, limitations, May 20, 1996, p. 3.
  39. Memorandum from Department of the Army, Office of the Project Manager for NBC Defense Systems to Department of the Army, Office of the Deputy Chief of Staff for Operations and Plans, Subject: "MM1 Operator Flowchart," February 05, 1997, p. 3.
  40. "MM-1 User Manual," Revised Version August 1992, p. 4-8 and 9-2.
  41. Lead sheet #20381, Meeting with CBDCOM Fox vehicle experts, October 27, 1998, p. 1.
  42. Lead sheet #20381, Meeting with CBDCOM Fox vehicle experts, October 27, 1998, p. 1 "MM-1 User Manual," Revised Version August 1992, p. 3-4.
  43. "MM-1 User Manual," Revised Version August 1992, p. 4-12 and 4-13.
  44. Lead sheet #20381, Meeting with CBDCOM Fox vehicle experts, October 27, 1998, p. 1.
  45. Lead Sheet #20043, Interview of Fox vehicle commander, November 9, 1998, p. 5.
  46. Lead Sheet #23644, Interview of 2/4 Cavalry commander, May 26, 1999, p. 1.
  47. Lead Sheet # 20043, Interview of Fox Vehicle commander, December 4, 1997, May 5, 1998, May 13, 1998 and November 12, 1998, p. 3-6.
  48. Special Assistant for Gulf War Illnesses, "Mission Oriented Protective Posture (MOPP) and Chemical Protection" (Information Paper), October 30, 1997, web site www.gulflink.health.mil/mopp/.
  49. Lead Sheet #23644, Interview of 2/4 Cavalry commander, May 26, 1999, p. 1.
  50. Lead Sheet #23645, Interview of 2/4 Cavalry surgeon, May 26, 1999, p. 1.
  51. Lead Sheet #23181, Meeting with Fox subject matter experts, May 6, 1999, p. 3.
  52. All times are local. This section of the Fox tape uses European dating so 01/02/91 is February 1, 1991. The dates and times are a manual user input.
  53. Memorandum from Department of the Army, Office of the Project Manager for NBC Defense Systems to Department of the Army, Office of the Deputy Chief of Staff for Operations and Plans, Subject: "Evaluation of Nuclear Biological Chemical Reconnaissance System (NBCRS) FOX Printouts from Operations Desert Storm (ODS)," December 17, 1993, p. 3.
  54. Lead Sheet #23181, Meeting with Fox subject matter experts, July 13, 1999, p. 3.
  55. Lead sheet #20381, Meeting with CBDCOM Fox vehicle experts, October 27, 1998 p. 2; Memorandum from Department of the Army, Office of the Project Manager for NBC Defense Systems to Department of the Army, Office of the Deputy Chief of Staff for Operations and Plans, Subject: "Evaluation of Nuclear Biological Chemical Reconnaissance System (NBCRS) FOX Printouts from Operations Desert Storm (ODS)," December 17, 1993, p. 2.
  56. Memorandum from Department of the Army, Office of the Project Manager for NBC Defense Systems to Department of the Army, Office of the Deputy Chief of Staff for Operations and Plans, Subject: "Evaluation of Nuclear Biological Chemical Reconnaissance System (NBCRS) FOX Printouts from Operations Desert Storm (ODS)," December 17, 1993.
  57. Memorandum from Department of the Army, Office of the Project Manager for NBC Defense Systems to Department of the Army, Office of the Deputy Chief of Staff for Operations and Plans, Subject: "Evaluation of Nuclear Biological Chemical Reconnaissance System (NBCRS) FOX Printouts from Operations Desert Storm (ODS)," December 17, 1993, p. 3.
  58. Lead Sheet #23644, Interview of 2/4 Cavalry commander, May 26, 1999, p. 1.
  59. The United Nations Blue Book Series, Volume IX, "The United Nations and the Iraq-Kuwait Conflict, 1990-1996," Document 189, "Seventh Report of the Executive Chairman of UNSCOM," United Nations, Department of Public Information, New York, 1996 p. 656-657; Lead Sheet #25196, Interview of CIA expert on Iraqi chemical warfare, October 8, 1999, p. 1.
  60. Gulf War Air Power Survey (GWAPS), Volume II, "Effects and Effectiveness," US Government Printing Office, 1993, p. 109.
  61. Lead sheet #20381, Meeting with CBDCOM Fox vehicle experts, October 27, 1998, p. 2; Memorandum from Department of the Army, Office of the Project Manager for NBC Defense Systems to Department of the Army, Office of the Deputy Chief of Staff for Operations and Plans, Subject: "Evaluation of Nuclear Biological Chemical Reconnaissance System (NBCRS) FOX Printouts from Operations Desert Storm (ODS)," December 17, 1993, p. 3.
  62. The United Nations Blue Book Series, Volume IX, "The United Nations and the Iraq-Kuwait Conflict, 1990-1996," Document 189, "Seventh Report of the Executive Chairman of UNSCOM," United Nations, Department of Public Information, New York, 1996 p. 656-657; Lead Sheet #25196, Interview of CIA expert on Iraqi chemical warfare, October 8, 1999, p. 1.
  63. Gulf War Air Power Survey (GWAPS), Volume II, "Effects and Effectiveness," US Government Printing Office, 1993, p. 109.
  64. Lead sheet #20381, Meeting with CBDCOM Fox vehicle experts, October 27, 1998, p. 2.
  65. "Report of the Defense Science Board Task Force on Persian Gulf War Health Effects," June 1994, web site www.gulflink.health.mil/dsbrpt/warfare.html (as of June 28, 1999); Lead Sheet #764, Interview of Fox expert, CBDCOM, May 28, 1996, p. 1-2. The air volume drawn through the sampling tube is approximately 300 times LESS than in other detectors, such as the M43A1 designed specifically for vapor detection.
  66. Lead Sheet #25196, Interview of CIA expert on Iraqi chemical warfare, October 8, 1999, p. 1.
  67. The United Nations Blue Book Series, Volume IX, "The United Nations and the Iraq-Kuwait Conflict, 1990-1996," Document 189, "Seventh Report of the Executive Chairman of UNSCOM," United Nations, Department of Public Information, New York, 1996 p. 656-657.
  68. Lead Sheet #23644, Interview of 2/4 Cavalry commander, May 26, 1999, p. 1.
  69. US Army Field Manual 3-9, US Navy Publication No P-467, US Air Force Manual No 355-7, "Potential Military Chemical/Biological Agents and Compounds," Washington, DC, December 12, 1990, p. 37.
  70. Lead sheet #20381, Meeting with CBDCOM Fox vehicle experts, October 27, 1998, p. 3.
  71. US Army Field Manual 3-9, US Navy Publication No P-467, US Air Force Manual No 355-7, "Potential Military Chemical/Biological Agents and Compounds," Washington, DC, December 12, 1990, p. 37.
  72. Memorandum from Department of the Army, Office of the Project Manager for NBC Defense Systems to Department of the Army, Office of the Deputy Chief of Staff for Operations and Plans, Subject: "Evaluation of Nuclear Biological Chemical Reconnaissance System (NBCRS) FOX Printouts from Operations Desert Storm (ODS)," December 17, 1993, p. 3.
  73. "MM-1 User Manual," Revised Version August 1992, p. 9-14.
  74. Bruker-Franzen Analytik, GMBH, "MM-1 User Manual," February 1987, p. 4-12.
  75. Lead sheet #20381, Meeting with CBDCOM Fox vehicle experts, October 27, 1998, p. 3.
  76. "MM-1 User Manual," Revised Version August 1992, p. 9-14.
  77. Bruker-Franzen Analytik, GMBH, "MM-1 User Manual," February 1987, p. 4-12.
  78. Lead Sheet #20381, Meeting with CBDCOM Fox vehicle experts, October 27, 1998, p. 3.
  79. The United Nations Blue Book Series, Volume IX, "The United Nations and the Iraq-Kuwait Conflict, 1990-1996," Document 189, "Seventh Report of the Executive Chairman of UNSCOM," United Nations, Department of Public Information, New York, 1996 p. 656-657; Lead Sheet #25196, Interview of CIA expert on Iraqi chemical warfare, October 8, 1999, p. 1.
  80. Lead Sheet #23599, Interview of 3/7 Infantry Scouts commander, May 18, 1999, p. 1.
  81. Scales, General Robert H., Certain Victory: The US Army in the Gulf War, Fort Leavenworth , Kansas, US Army Command and General Staff College Press, 1994, p. 254; Final Report to Congress, "Conduct of the Persian Gulf War," April 1992, p. 262.
  82. Scales, General Robert H., Certain Victory: The US Army in the Gulf War, Fort Leavenworth , Kansas, US Army Command and General Staff College Press, 1994, p. 254; Final Report to Congress, "Conduct of the Persian Gulf War," April 1992, p. 260.
  83. Lead Sheet #6670, Interview of Task Force 4-64 commander, October 30, 1997, p. 1; For more information on this ammunition supply point see Special Assistant for Gulf War Illnesses, "Khamisiyah" (Case Narrative) April 14, 1997, web site www.gulflink.health.mil (as of January 18, 2000).
  84. Lead Sheet #23599, Interview of 3/7 Infantry Scouts commander, May 18, 1999, p. 1.
  85. Lead Sheet #23598, Interview of 3/7 Medical Platoon commander, May 13, 1999, p. 1.
  86. Lead Sheet #23599, Interview of 3/7 Infantry Scouts commander, May 18, 1999, p. 1; Lead Sheet #23600, Interview of 3/7 battalion operations officer, May 17, 1999, p. 1.
  87. Lead Sheet #20035, Interview of MM-1 operator, December 11, 1997, p. 4.
  88. "US Marines in the Persian Gulf, 1990-1991: With the I Marine Expeditionary Force in Desert Shield and Desert Storm," History and Museums Division, Headquarters, US Marine Corps, Washington D.C., 1993, p. 75.
  89. Lead Sheet #23390, Interview of 3/7 Infantry Scouts commander, May 18, 1999, p. 1.
  90. Lead Sheet #23181, meeting with Fox subject matter experts, May 6, 1999, p. 4.
  91. Lead Sheet #20035, Interview of MM-1 operator, December 11, 1997, p. 4.
  92. "Report of the Defense Science Board Task Force on Persian Gulf War Health Effects," June 1994, web site www.gulflink.health.mil/dsbrpt/warfare.html (as of June 28, 1999); Lead Sheet #764, Interview of Fox expert, CBDCOM, May 28, 1996, p. 1-2.
  93. "The United Nations Blue Book Series, Volume IX, "The United Nations and the Iraq-Kuwait Conflict, 1990-1996," Document 189, "Seventh Report of the Executive Chairman of UNSCOM," United Nations, Department of Public Information, New York, 1996 p. 656-657; Lead Sheet #25196, Interview of chemical warfare expert, October 29, 1999, p. 1.
  94. Lead Sheet #20043, Interview of Fox vehicle commander, November 9, 1998, p. 5.
  95. Lead sheet #20381, Meeting with CBDCOM Fox vehicle experts, October 27, 1998, p. 3; Lead Sheet #20043, Interview of Fox vehicle commander, November 9, 1998, p. 5.
  96. Memorandum from Department of the Army, Office of the Project Manager for NBC Defense Systems to Department of the Army, Office of the Deputy Chief of Staff for Operations and Plans, Subject: "Evaluation of Nuclear Biological Chemical Reconnaissance System (NBCRS) FOX Printouts from Operations Desert Storm (ODS)," December 17, 1993, p. 3.
  97. Memorandum from Department of the Army, Office of the Project Manager for NBC Defense Systems to Department of the Army, Office of the Deputy Chief of Staff for Operations and Plans, Subject: "Evaluation of Nuclear Biological Chemical Reconnaissance System (NBCRS) FOX Printouts from Operations Desert Storm (ODS)," December 17, 1993, p. 3; Lead Sheet #20381, Meeting with CBDCOM Fox vehicle experts, October 27, 1998, p. 3.
  98. Lead Sheet #23599, Interview of 3/7 Infantry Scouts commander, May 18, 1999, p. 1.
  99. Fax from PM NBC Defense Systems, Subject: "Interferents," December 7, 1998, p. 3.
  100. Special Assistant for Gulf War Illnesses, "Fox NBC Reconnaissance Vehicle" (Information Paper), July 31, 1997, web site www.gulflink.health.mil/foxnbc/.
  101. The United Nations Blue Book Series, Volume IX, "The United Nations and the Iraq-Kuwait Conflict, 1990-1996," Document 220, "Tenth Report of the Executive Chairman of UNSCOM," United Nations, Department of Public Information, New York, 1996 p. 817.
  102. Lead Sheet #25196, Interview of CIA expert on Iraqi chemical warfare, October 8, 1999, p. 1.
  103. Gulf War Air Power Survey (GWAPS), Volume II, "Effects and Effectiveness," US Government Printing Office, 1993, p. 109.
  104. Defense Special Missile and Aeronautics Center, "Mideast Conflict: Iraqi SRBM Launch Summary through 26 February 1991," 271603Z Feb 91, p. 1.
  105. Lead Sheet #26904, Interview with chemical warfare agent expert, February 9, 2000, p. 1.
  106. "Convention on the Prohibition of the Development, Production, Stockpiling, and Use of Chemical Weapons and on Their Destruction," April 29, 1997.
  107. The United Nations Blue Book Series, Volume IX, "The United Nations and the Iraq-Kuwait Conflict, 1990-1996," Document 189, "Seventh Report of the Executive Chairman of UNSCOM," United Nations, Department of Public Information, New York, 1996 p. 656-657; Lead Sheet #25196, Interview of CIA expert on Iraqi chemical warfare, October 8, 1999, p. 1.
  108. Gulf War Air Power Survey (GWAPS), Volume II, "Effects and Effectiveness," US Government Printing Office, 1993, p. 109.
  109. The United Nations Blue Book Series, Volume IX, "The United Nations and the Iraq-Kuwait Conflict, 1990-1996," Document 189, "Seventh Report of the Executive Chairman of UNSCOM," United Nations, Department of Public Information, New York, 1996 p. 656-657; Lead Sheet #25196, Interview of CIA expert on Iraqi chemical warfare, October 8, 1999, p. 1.
  110. Lead Sheet #20381, Meeting with CBDCOM Fox vehicle experts, October 27, 1998, p. 2-3; Memorandum from Department of the Army, Office of the Project Manager for NBC Defense Systems to Department of the Army, Office of the Deputy Chief of Staff for Operations and Plans, Subject: "Evaluation of Nuclear Biological Chemical Reconnaissance System (NBCRS) FOX Printouts from Operations Desert Storm (ODS)," December 17, 1993, p. 4.
  111. Lead Sheet #20381, Meeting with CBDCOM Fox vehicle experts, October 27, 1998, p. 2-3; Memorandum from Department of the Army, Office of the Project Manager for NBC Defense Systems to Department of the Army, Office of the Deputy Chief of Staff for Operations and Plans, Subject: "Evaluation of Nuclear Biological Chemical Reconnaissance System (NBCRS) FOX Printouts from Operations Desert Storm (ODS)," December 17, 1993, p. 4.
  112. Lead Sheet #20381, Meeting with CBDCOM Fox vehicle experts, October 27, 1998; p. 3; Memorandum from Department of the Army, Office of the Project Manager for NBC Defense Systems to Department of the Army, Office of the Deputy Chief of Staff for Operations and Plans, Subject: "Evaluation of Nuclear Biological Chemical Reconnaissance System (NBCRS) FOX Printouts from Operations Desert Storm (ODS)," December 17, 1993, p. 4.
  113. Lead Sheet #20381, Meeting with CBDCOM Fox vehicle experts, October 27, 1998, p. 2-3; Memorandum from Department of the Army, Office of the Project Manager for NBC Defense Systems to Department of the Army, Office of the Deputy Chief of Staff for Operations and Plans, Subject: "Evaluation of Nuclear Biological Chemical Reconnaissance System (NBCRS) FOX Printouts from Operations Desert Storm (ODS)," December 17, 1993, p. 4.
  114. Lead Sheet #25196, Interview of CIA expert on Iraqi chemical warfare, October 8, 1999, p. 1.
  115. Lead Sheet #20381, Meeting with CBDCOM Fox vehicle experts, October 27, 1998, p. 2-3; Memorandum from Department of the Army, Office of the Project Manager for NBC Defense Systems to Department of the Army, Office of the Deputy Chief of Staff for Operations and Plans, Subject: "Evaluation of Nuclear Biological Chemical Reconnaissance System (NBCRS) FOX Printouts from Operations Desert Storm (ODS)," December 17, 1993, p. 4.
  116. US Army Field Manual 8-285, US Navy Medical Publication P-5041, US Air Force Joint Manual 44-149, US Marine Corps Fleet Marine Force Manual 11-11, "Treatment Of Chemical Agent Casualties and Conventional Military Chemical Injuries, Glossary, Section II, Definitions and Terms," December 22, 1995.
  117. US Army Material Safety Data Sheet, Aberdeen Proving Ground, MD, June 30, 1995.
  118. Taken from the CBDCOM mission statement, web site www.sbccom.army.mil/hooah/pubs/cbdcom98.pdf (as of September 2, 1999).
  119. US Army Field Manual 3-9, US Navy Publication P-467, US Air Force Manual 355-7, "Potential Military Chemical/Biological Agents and Compounds," Washington, DC, December 12, 1990, p. 107.
  120. US Army Field Manual 8-285, US Navy Medical Publication P-5041, US Air Force Joint Manual 44-149, US Marine Corps Fleet Marine Force Manual 11-11, "Treatment Of Chemical Agent Casualties and Conventional Military Chemical Injuries, Glossary, Section II, Definitions and Terms," December 22, 1995.
  121. Special Assistant for Gulf War Illnesses, "Fox NBC Reconnaissance Vehicle" (Information Paper),
  122. US Army Field Manual 3-9, US Navy Publication P-467, US Air Force Manual 355-7, "Potential Military Chemical/Biological Agents and Compounds," Washington, DC, December 12, 1990, chapter 2, p. 18.
  123. US Army Field Manual 3-9, US Navy Publication P-467, US Air Force Manual 355-7, "Potential Military Chemical/Biological Agents and Compounds," December 12, 1990, chapter 2, p. 19.
  124. US Army Field Manual 3-9, US Navy Publication P-467, US Air Force Manual 355-7, "Potential Military Chemical/Biological Agents and Compounds," December 12, 1990, chapter 2, p. 21.
  125. US Army Field Manual 3-9, US Navy Publication P-467, US Air Force Manual 355-7, "Potential Military Chemical/Biological Agents and Compounds," December 12, 1990, chapter 2, p. 23.
  126. US Army Field Manual 3-9, US Navy Publication P-467, US Air Force Manual No 355-7, "Potential Military Chemical/Biological Agents and Compounds," Washington, DC, December 12, 1990, p. 17-18; US Army Field Manual 8-285, US Navy Publication P-5041, US Air Force Manual 44-149, US Marine Corps Fleet Marine Force Manual 11-11, "Treatment Of Chemical Agent Casualties And Conventional Military Chemical Injuries," Washington, DC, December 22, 1995, p. 2-1, web site http://www.nbc-med.org/SiteContent/MedRef/OnlineRef/FieldManuals/fm8_285/PART_I/.
  127. US Army Field Manual 3-9, US Navy Publication P-467, US Air Force Manual 355-7, "Potential Military Chemical/Biological Agents and Compounds," December 12, 1990, chapter 2, p. 31.
  128. US Army Field Manual 3-9, US Navy Publication No P-467, US Air Force Manual No 355-7, "Potential Military Chemical/Biological Agents and Compounds," Washington, DC, December 12, 1990, p. 40, 31, 39.
  129. US Army Field Manual 3-9, US Navy Publication No P-467, US Air Force Manual No 355-7, "Potential Military Chemical/Biological Agents and Compounds," Washington, DC, December 12, 1990, p. 30, 32-36.
  130. US Army Material Safety Data Sheet on HQ Mustard, Aberdeen Proving Ground, MD, June 30, 1995.
  131. US Army Field Manual 3-9, US Navy Publication P-467, US Air Force Manual 355-7, "Potential Military Chemical/Biological Agents and Compounds," December 12, 1990, p. 30.
  132. US Army Material Safety Data Sheet on HQ Mustard, Aberdeen Proving Ground, MD, June 30, 1995.
  133. US Army Field Manual 3-9, US Navy Publication No P-467, US Air Force Manual No 355-7, "Potential Military Chemical/Biological Agents and Compounds," Washington, DC, December 12, 1990, p. 37-38.
  134. WWWebster Dictionary copyright (c) 1998 by Merriam-Webster, Incorporated, web site www.m-w.com/dictionary (as of May 3,1999).
  135. US Army Field Manual 3-9, US Navy Publication P-467, US Air Force Manual 355-7, "Potential Military Chemical/Biological Agents and Compounds," December 12, 1990, chapter 2, p. 39.
  136. Brletich, Nancy R., Mary Jo Waters, Gregory W. Bowen, Mary Frances Tracy, Worldwide Chemical Detection Equipment Handbook, Chemical and Biological Defense Information Analysis Center, October 1995, p. 430-431. Copies of the Worldwide Chemical Detection Equipment Handbook may be purchased from the CBIAC. To order, please contact the CBIAC Administrator, via phone (410-676-9030), fax (410-676-9703), e-mail (cbiac@battelle.org), or use the interactive request form on the CBIAC web site www.cbiac.apgea.army.mil (as of October 19, 1999). See also Special Assistant for Gulf War Illnesses, "M256 Series Chemical Agent Detector Kit" (Information Paper), July 23, 1999, web site www.gulflink.health.mil/m256/.
  137. Special Assistant for Gulf War Illnesses, "The Fox NBC Reconnaissance Vehicle" (Information Paper), July 29, 1997, p. 2, 8-9, web site www.gulflink.health.mil/foxnbc/ (as of October 14, 1999).
  138. Special Assistant for Gulf War Illnesses, "Mission Oriented Protective Posture (MOPP) and Chemical Protection" (Information Paper), October 30, 1997, web site www.gulflink.health.mil/mopp/.
  139. US Army Field Manual 3-4, US Marine Corp Fleet Marine Force Manual 11-09, "NBC Protection," February 21, 1996, chapter 2, p. 4-5.
  140. US Army Field Manual 8-285, US Navy Medical Publication P-5041, US Air Force Joint Manual 44-149, US Marine Corps Fleet Marine Force Manual 11-11, "Treatment Of Chemical Agent Casualties and Conventional Military Chemical Injuries," December 22, 1995, Glossary, Section II, "Definitions And Terms," web site www.nbc-med.org/SiteContent/MedRef/OnlineRef/FieldManuals/fm8_285/PART_I/index.htm (as of June 25, 1999).
  141. Taken from the SBCCOM mission statement web site www.sbccom.army.mil/about/mission.htm (as of September 2, 1999).
  142. US Army Field Manual 3-9, US Navy Publication P-467, US Air Force Manual 355-7, "Potential Military Chemical/Biological Agents and Compounds," Washington, DC, December 12, 1990, chapter 2, p. 18.
  143. US Army Field Manual 3-9, US Navy Publication P-467, US Air Force Manual 355-7, "Potential Military Chemical/Biological Agents and Compounds," Washington, DC, December 12, 1990, p. 112.
  144. US Army Field Manual 3-9, US Navy Publication P-467, US Air Force Manual 355-7, "Potential Military Chemical/Biological Agents and Compounds," December 12, 1990, chapter 2, p 23, 112.
  145. US Army Field Manual 3-9, US Navy Publication P-467, US Air Force Manual 355-7, "Potential Military Chemical/Biological Agents and Compounds," December 12, 1990, chapter 2, p. 23.
  146. "Convention on the Prohibition of the Development, Production, Stockpiling, and Use of Chemical Weapons and on Their Destruction," April 29, 1997. This chemical weapons convention was opened for signature in Paris, France, on January 13, 1993. It has been signed by 165 states and ratified or acceded by 106 states (as of February 1998). It was signed by the United States on January 13, 1993, and ratified on April 25, 1997. Part XI of the convention, "Investigations in Cases of Alleged Use of Chemical Weapons," details some of the procedures. Other protocols and guidelines were found in Methodology and Instrumentation for Sampling and Analysis in the Verification of Chemical Disarmament, The Ministry for Foreign Affairs of Finland, Helsinki, Finland, 1985; Verification Methods, Handling, and Assessment Of Unusual Events In Relation To Allegations of the Use of Novel Chemical Warfare Agents, Consultant University of Saskatchewan in conjunction with the Verification Research Unit of External Affairs and International Trade Canada, March 1990; and Handbook for the Investigation of Allegations of the Use of Chemical or Biological Weapons, Department of External Affairs, Department of National Defence, Health and Welfare Canada, and Agriculture Canada, November 1985. US Army Field Manual 3-4, US Marine Corps Fleet Marine Force Manual 11-9, "NBC Protection," May 1992; US Army Field Manual 8-285, US Navy NAVMED P-5041, US Air Force Manual 44-149, US Marine Corps Fleet Marine Force Manual 11-11 (adopted as NATO Field Manual 8-285), "Treatment Of Chemical Agent Casualties and Conventional Military Chemical Injuries," December 22, 1995; US Army Field Manual 19-20, "Law Enforcement Investigations," November 25, 1985; and other DoD investigational procedures contributed ideas for the development of this methodology.
  147. This tab represents a reproduction of copies of tapes received in the Memorandum from Department of the Army, Office of the Project Manager for NBC Defense Systems to Department of the Army, Office of the Deputy Chief of Staff for Operations and Plans, Subject: "Evaluation of Nuclear Biological Chemical Reconnaissance System (NBCRS) FOX Printouts from Operations Desert Storm (ODS)," December 17, 1993, and the Fax from the Presidential Advisory Committee on Gulf War Veterans’ Illnesses, Subject: "Edgewood Tapes," July 25, 1997.